文库 管理学 酒店管理

希尔顿欢朋顾客满意度研究-16684字.docx

2022及前全 DOCX   30页   下载0   2026-01-09   浏览11   收藏0   点赞0   评分-   20628字   20.00
温馨提示:当前文档最多只能预览 10 页,若文档总页数超出了 10 页,请下载原文档以浏览全部内容。
希尔顿欢朋顾客满意度研究-16684字.docx 第1页
希尔顿欢朋顾客满意度研究-16684字.docx 第2页
希尔顿欢朋顾客满意度研究-16684字.docx 第3页
希尔顿欢朋顾客满意度研究-16684字.docx 第4页
希尔顿欢朋顾客满意度研究-16684字.docx 第5页
希尔顿欢朋顾客满意度研究-16684字.docx 第6页
希尔顿欢朋顾客满意度研究-16684字.docx 第7页
希尔顿欢朋顾客满意度研究-16684字.docx 第8页
希尔顿欢朋顾客满意度研究-16684字.docx 第9页
希尔顿欢朋顾客满意度研究-16684字.docx 第10页
剩余20页未读, 下载浏览全部
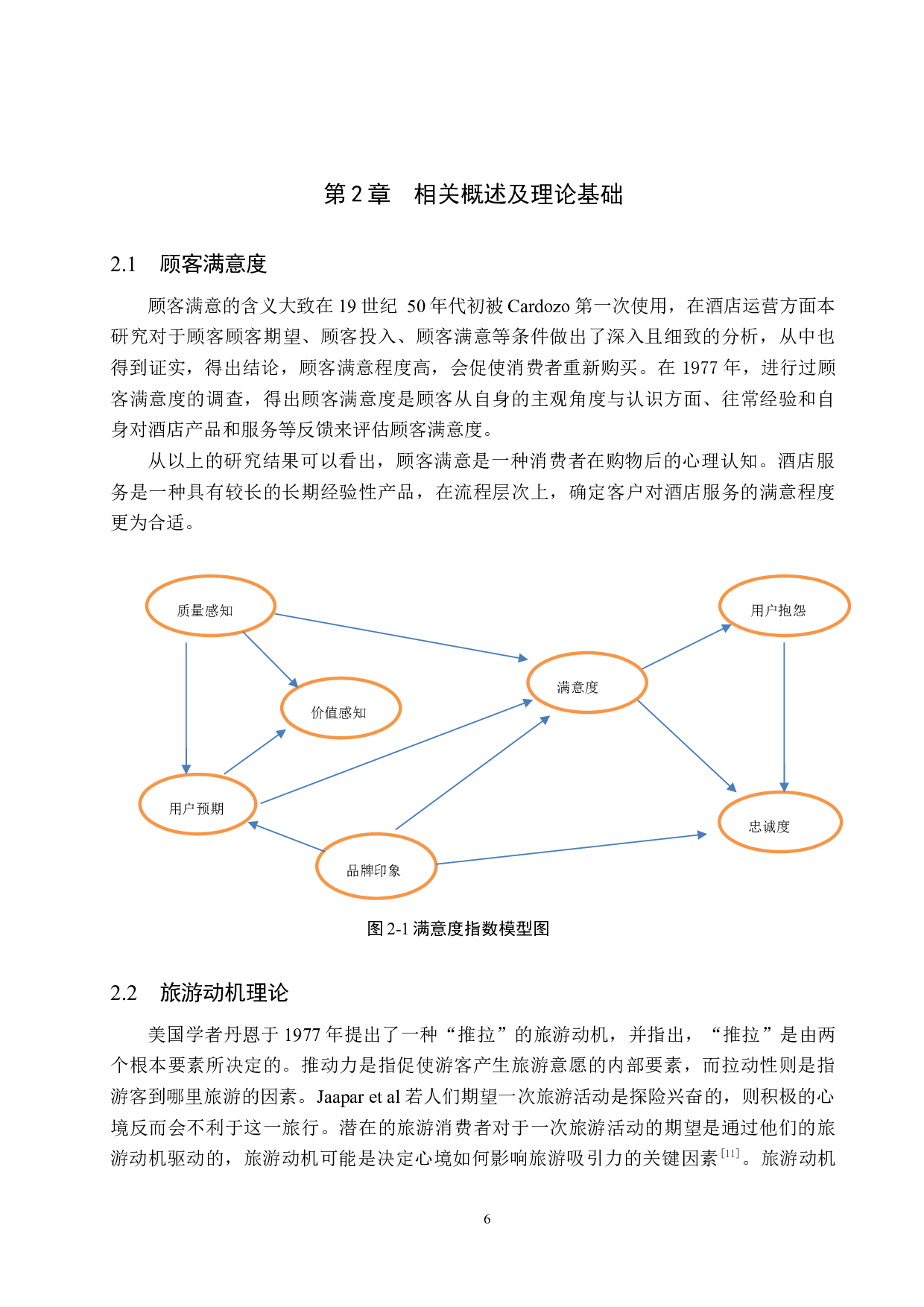
摘 要 随着我国经济迅速发展,我国的第三产业也占据越来越重要的地位,人民不局限于生活必需品的需求,对于精神层面的要求越来越高。当今,酒店行业发展迅速,而顾客满意 度对于 一个酒店的发展是及其重要的。特别是自疫情开始,酒店行业面临发展危机,这种情况下如何提高顾客满意度、如何令顾客满意就成为酒店研究策略的重中之重。 本文 以北京会议中心希尔顿 欢朋酒店 作为研究对象,与顾客满意 度相关 研究结论相结合,通过实际调查北京会议中心希尔顿 欢朋顾客 满意度数据, 根据实际数据对影响顾客满意 度相关 因素进行研究并且提
希尔顿欢朋顾客满意度研究-16684字.docx