文库 管理学 人力资源管理

学分绩点对求职意向的影响研究-13867字.docx

2022及前全 DOCX   27页   下载0   2026-01-13   浏览2   收藏0   点赞0   评分-   18321字   20.00
温馨提示:当前文档最多只能预览 10 页,若文档总页数超出了 10 页,请下载原文档以浏览全部内容。
学分绩点对求职意向的影响研究-13867字.docx 第1页
学分绩点对求职意向的影响研究-13867字.docx 第2页
学分绩点对求职意向的影响研究-13867字.docx 第3页
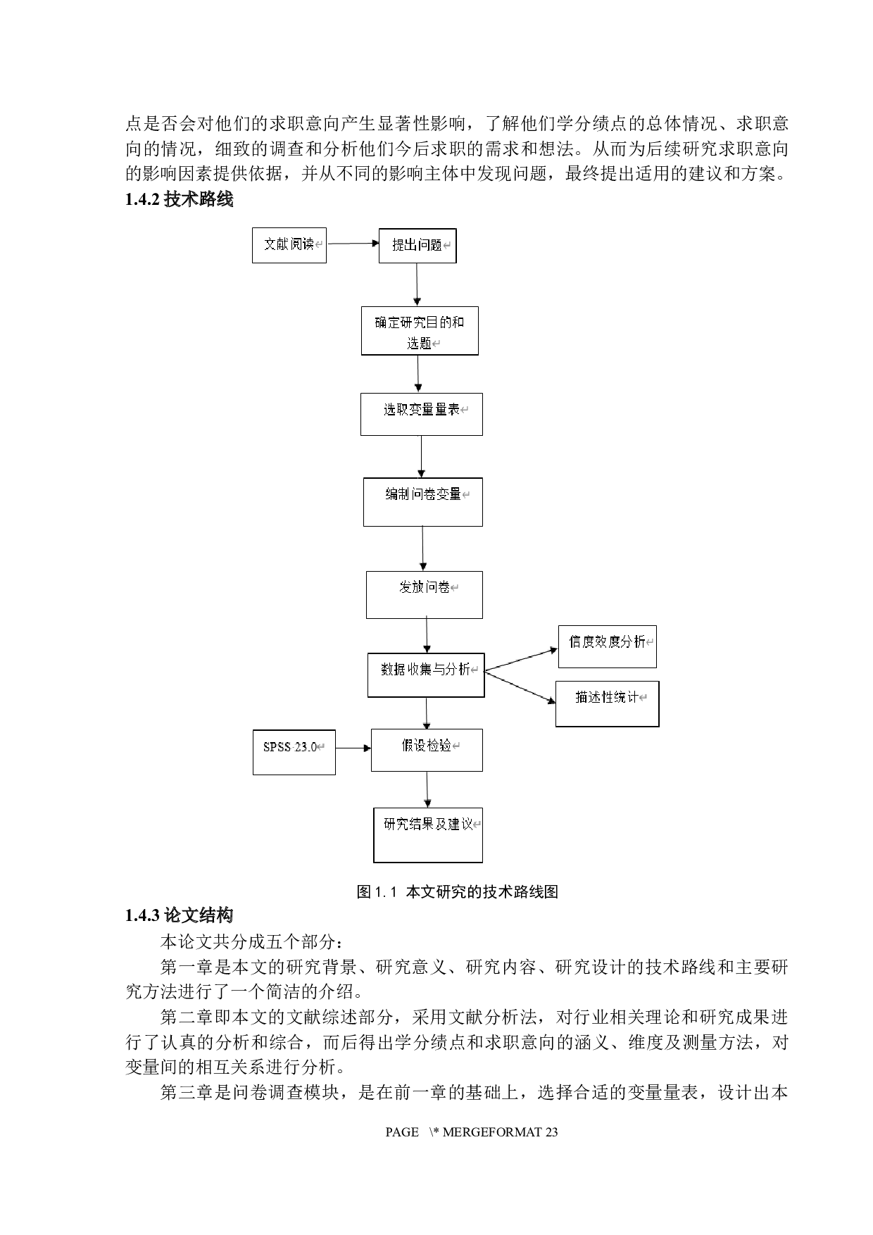
学分绩点对求职意向的影响研究-13867字.docx 第4页
学分绩点对求职意向的影响研究-13867字.docx 第5页
学分绩点对求职意向的影响研究-13867字.docx 第6页
学分绩点对求职意向的影响研究-13867字.docx 第7页
学分绩点对求职意向的影响研究-13867字.docx 第8页
学分绩点对求职意向的影响研究-13867字.docx 第9页
学分绩点对求职意向的影响研究-13867字.docx 第10页
剩余17页未读, 下载浏览全部
摘 要 随着高等教育事业的不断普及和高学历人才的逐年增加 , 大学生就业难问题也越发严峻。本文以北京理工大学珠海学院的学生为研究对象,采用文献研究、问卷调查和数据分析等方法,探究了学分 绩 点对求职意向的影响问题。研究结果表明,学分 绩 点对求职意向没有完全的显著性影响,具体表现为:学分 绩 点对毕业之后的升学、就业或出国深造问题有显著影响;学分 绩 点对就业时的公司选择没有显著性影响, 无论绩点高低 都 乐意 进入自己心仪的大公司;学分 绩 点对就业的城市选择没有显著性影响,这类选择更多地是受家庭因素、个人因
学分绩点对求职意向的影响研究-13867字.docx