文库 农业 食品工程

低温冻藏对可口革囊星虫新鲜度的影响-7661字.docx

DOCX   18页   下载0   2025-10-29   浏览22   收藏0   点赞0   评分-   12333字   6积分
温馨提示:当前文档最多只能预览 10 页,若文档总页数超出了 10 页,请下载原文档以浏览全部内容。
低温冻藏对可口革囊星虫新鲜度的影响-7661字.docx 第1页
低温冻藏对可口革囊星虫新鲜度的影响-7661字.docx 第2页
低温冻藏对可口革囊星虫新鲜度的影响-7661字.docx 第3页
低温冻藏对可口革囊星虫新鲜度的影响-7661字.docx 第4页
低温冻藏对可口革囊星虫新鲜度的影响-7661字.docx 第5页
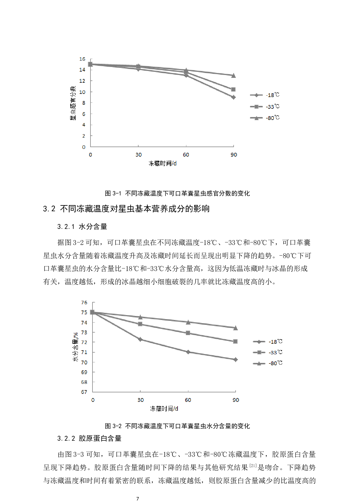
低温冻藏对可口革囊星虫新鲜度的影响-7661字.docx 第6页
低温冻藏对可口革囊星虫新鲜度的影响-7661字.docx 第7页
低温冻藏对可口革囊星虫新鲜度的影响-7661字.docx 第8页
低温冻藏对可口革囊星虫新鲜度的影响-7661字.docx 第9页
低温冻藏对可口革囊星虫新鲜度的影响-7661字.docx 第10页
剩余8页未读, 下载浏览全部
摘 要 本实验以可口革囊星虫感官评价、基本营养成分、化学指标、菌落总数作为新鲜度指标,研究在不同冻藏温度下星虫保鲜的效果。结果表明:-18 ℃ 、-33 ℃ 和-80 ℃ 冻藏90d,星虫水分含量、pH、菌落总数表现为下降趋势,水分含量分别下降4.76%、2.97%、1.58%;pH分别下降0.69、0.44、0.24;菌落总数分别下降0.1、0.49、0.91;星虫冻结损失率、挥发性盐基氮、组胺都有所上升,冻结损失率分别上升28.20%、25.48%、23.58%;挥发性盐基氮分别上升4.9mg/100g、3.78mg/100g、1.96mg/100g;组胺分别上升3.51mg/100g、2.52mg/100g、1.99mg/100g
低温冻藏对可口革囊星虫新鲜度的影响-7661字.docx