文库 经济学 市场营销

内容社交软件小红书的营销策略及创新研究-24092字.docx

2022及前全 DOCX   46页   下载0   2026-01-13   浏览4   收藏0   点赞0   评分-   27944字   20.00
温馨提示:当前文档最多只能预览 10 页,若文档总页数超出了 10 页,请下载原文档以浏览全部内容。
内容社交软件小红书的营销策略及创新研究-24092字.docx 第1页
内容社交软件小红书的营销策略及创新研究-24092字.docx 第2页
内容社交软件小红书的营销策略及创新研究-24092字.docx 第3页
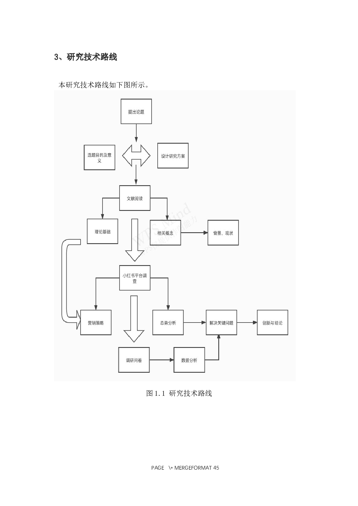
内容社交软件小红书的营销策略及创新研究-24092字.docx 第4页
内容社交软件小红书的营销策略及创新研究-24092字.docx 第5页
内容社交软件小红书的营销策略及创新研究-24092字.docx 第6页
内容社交软件小红书的营销策略及创新研究-24092字.docx 第7页
内容社交软件小红书的营销策略及创新研究-24092字.docx 第8页
内容社交软件小红书的营销策略及创新研究-24092字.docx 第9页
内容社交软件小红书的营销策略及创新研究-24092字.docx 第10页
剩余36页未读, 下载浏览全部
内容社交软件小红书的营销策略及创新研究 摘 要 近年来,内容社交平台不断涌现并逐渐加入电商功能,其具有高度的客户粘性以及社群推广力度,进驻了广大品牌厂商以及知名博主,利用社群效应。迅速成为一种新的电商营销模式。本文从我国互联网发展背景及电商发展入手,以小红书平台为例子,基于用户的角度研究其营销模式的利与弊,通过问卷调查这一实证分析的方式,分析用户对于小红书平台的推广、运营、口碑以及功能的观感,探究其营销模式对消费者购买行为的影响因素以及小红书平台的营销创新方向,提升小红书平台的用户粘性以及优化运营
内容社交软件小红书的营销策略及创新研究-24092字.docx