文库 机械管理与电气自动化 机器人工程

一种全自动折衣机——硬件设计-14369字.docx

2022及前全 DOCX   45页   下载0   2026-01-12   浏览6   收藏0   点赞0   评分-   17794字   20.00
温馨提示:当前文档最多只能预览 10 页,若文档总页数超出了 10 页,请下载原文档以浏览全部内容。
一种全自动折衣机——硬件设计-14369字.docx 第1页
一种全自动折衣机——硬件设计-14369字.docx 第2页
一种全自动折衣机——硬件设计-14369字.docx 第3页
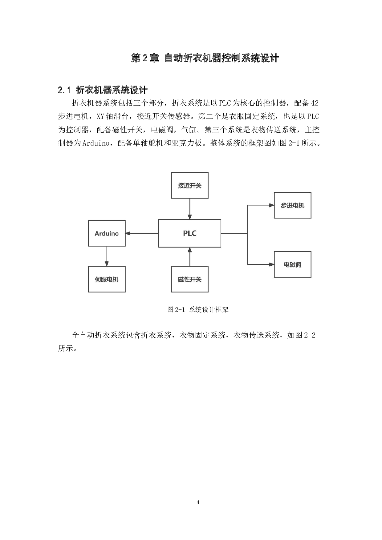
一种全自动折衣机——硬件设计-14369字.docx 第4页
一种全自动折衣机——硬件设计-14369字.docx 第5页
一种全自动折衣机——硬件设计-14369字.docx 第6页
一种全自动折衣机——硬件设计-14369字.docx 第7页
一种全自动折衣机——硬件设计-14369字.docx 第8页
一种全自动折衣机——硬件设计-14369字.docx 第9页
一种全自动折衣机——硬件设计-14369字.docx 第10页
剩余35页未读, 下载浏览全部
一种全自动折衣机 ——硬件设计 摘要 如今,随着科学技术的不断进步和发展,越来越多的智能家居进入到人们的生活当中。自动折衣机器目前市场尚未普及且存在价格偏高,研发技术也尚未成熟。 为了解决家庭收纳衣服问题,给人们留出更多的休息时间,解决折衣效率低下的问题,本问提出一款自动折衣机器,其包括自动折衣装置,衣物传输装置和衣物固定装置。控制系统以PLC为核心,结合其它传感模块,通过对XY线性模组进行控制操作,实现自动折衣功能。 本文针对折衣机器的硬件设备的选型,P LC 周边电路的设计,元器件之间的接线以及各操作系统的
一种全自动折衣机——硬件设计-14369字.docx