文库 管理学 物流管理

海南省农产品物流存在的问题及对策研究-9091字.docx

DOCX   15页   下载0   2025-10-29   浏览7   收藏0   点赞0   评分-   11023字   6积分
温馨提示:当前文档最多只能预览 10 页,若文档总页数超出了 10 页,请下载原文档以浏览全部内容。
海南省农产品物流存在的问题及对策研究-9091字.docx 第1页
海南省农产品物流存在的问题及对策研究-9091字.docx 第2页
海南省农产品物流存在的问题及对策研究-9091字.docx 第3页
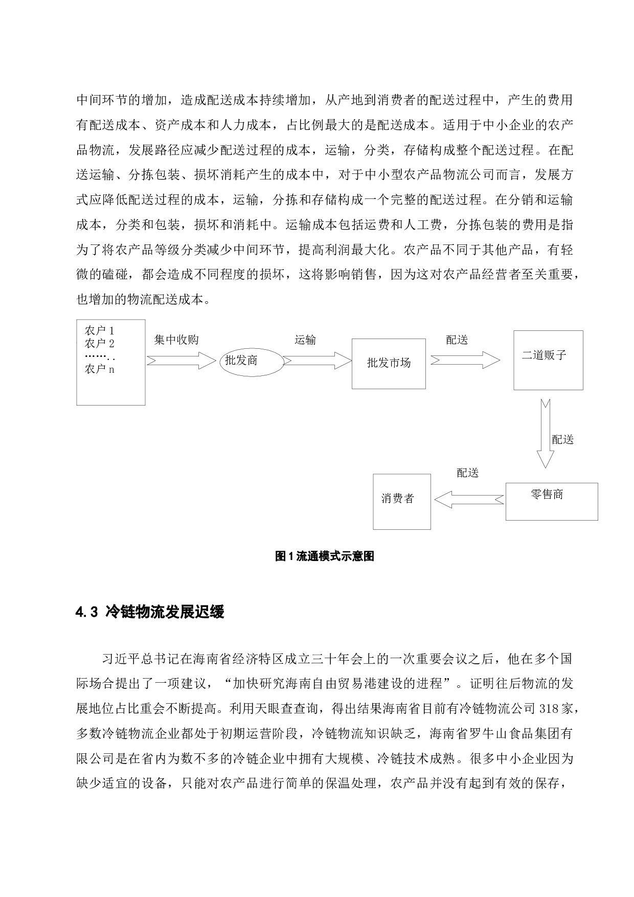
海南省农产品物流存在的问题及对策研究-9091字.docx 第4页
海南省农产品物流存在的问题及对策研究-9091字.docx 第5页
海南省农产品物流存在的问题及对策研究-9091字.docx 第6页
海南省农产品物流存在的问题及对策研究-9091字.docx 第7页
海南省农产品物流存在的问题及对策研究-9091字.docx 第8页
海南省农产品物流存在的问题及对策研究-9091字.docx 第9页
海南省农产品物流存在的问题及对策研究-9091字.docx 第10页
剩余5页未读, 下载浏览全部
目 录 引言 4 1 农产品物流的概述 4 1.1 农产品物流的 定义 4 1.2 农产品物流的 特点 5 2 国内外农产品物流现状 5 2.1 国外农产品物流现状 5 2.2 国内农产品物流现状 6 3 海南省农产品物流发展的现状 7 3.1 果蔬产量逐年增加 7 3.2 农产品物流企业持续发展 7 3.3 大力发展农产品物流基础设施 8 3.4市场对农产品的需求量逐渐扩大 8 4 海南省农产品物流存在的问题 9 4.1 农产品物流基础设施不完善 9 4.2农产品物流配送成本较高 9 4.3 冷链物流发展迟缓 10 4.4 专业人才稀缺 11 5 自贸区“港”建设背景下 海南省农产品物流发展机遇 11 5
海南省农产品物流存在的问题及对策研究-9091字.docx