文库 机械管理与电气自动化 机器人工程

消防辅助智能车——视觉算法-13005字.docx

2022及前全 DOCX   42页   下载0   2026-01-12   浏览2   收藏0   点赞0   评分-   19252字   20.00
温馨提示:当前文档最多只能预览 10 页,若文档总页数超出了 10 页,请下载原文档以浏览全部内容。
消防辅助智能车——视觉算法-13005字.docx 第1页
消防辅助智能车——视觉算法-13005字.docx 第2页
消防辅助智能车——视觉算法-13005字.docx 第3页
消防辅助智能车——视觉算法-13005字.docx 第4页
消防辅助智能车——视觉算法-13005字.docx 第5页
消防辅助智能车——视觉算法-13005字.docx 第6页
消防辅助智能车——视觉算法-13005字.docx 第7页
消防辅助智能车——视觉算法-13005字.docx 第8页
消防辅助智能车——视觉算法-13005字.docx 第9页
消防辅助智能车——视觉算法-13005字.docx 第10页
剩余32页未读, 下载浏览全部
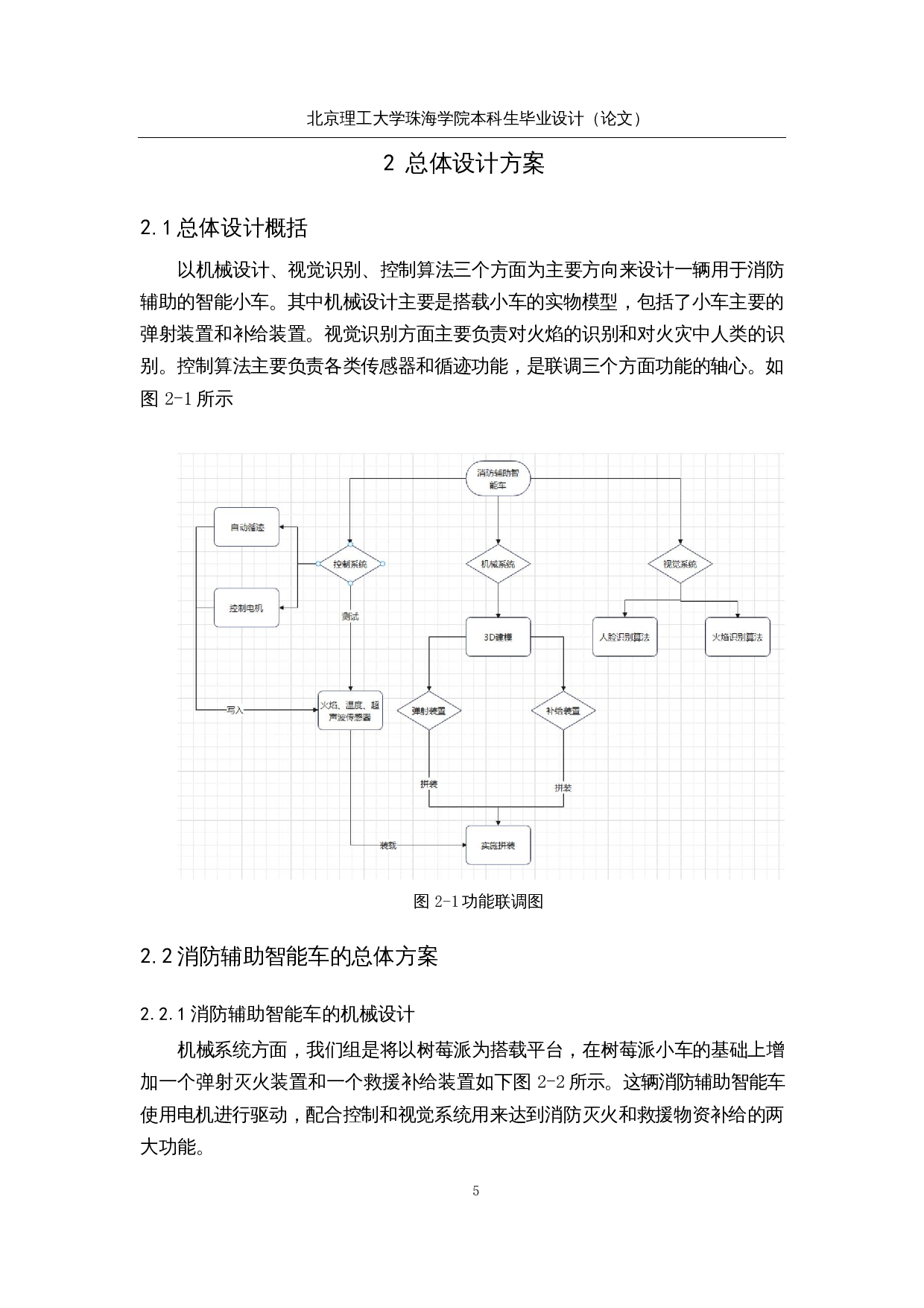
北京理工大学珠海学院本科生毕业设计(论文) 消防辅助智能车 --- 视觉算法 摘要 在当今社会中,消防救援的复杂性、危险性和突发性导致消防工作往往需要 付出许多的人力物力都难以避免伤亡。这也促使我们去研发一些可以代替消防人 员进行火场救援的自动化设备。对此情况,我们组设计了一款可以在一些危险特 定的情况下能提前进入火灾现场的消防辅助智能车。 消防辅助智能车不仅是一辆可以在消防人员进入火场前进入火灾现场并且 自动循迹后识别火焰,然后利用装载的灭火弹射装置扑灭火焰的辅助性小车。还 是一辆可以利用人脸识别识别出火
消防辅助智能车——视觉算法-13005字.docx