文库 计算机 电子信息工程

基于EDA的稳压电源设计-6880字.pdf

2022及前全 PDF   20页   下载0   2026-01-15   浏览5   收藏0   点赞0   评分-   10685字   20.00
温馨提示:当前文档最多只能预览 10 页,若文档总页数超出了 10 页,请下载原文档以浏览全部内容。
基于EDA的稳压电源设计-6880字.pdf 第1页
基于EDA的稳压电源设计-6880字.pdf 第2页
基于EDA的稳压电源设计-6880字.pdf 第3页
基于EDA的稳压电源设计-6880字.pdf 第4页
基于EDA的稳压电源设计-6880字.pdf 第5页
基于EDA的稳压电源设计-6880字.pdf 第6页
基于EDA的稳压电源设计-6880字.pdf 第7页
基于EDA的稳压电源设计-6880字.pdf 第8页
基于EDA的稳压电源设计-6880字.pdf 第9页
基于EDA的稳压电源设计-6880字.pdf 第10页
剩余10页未读, 下载浏览全部
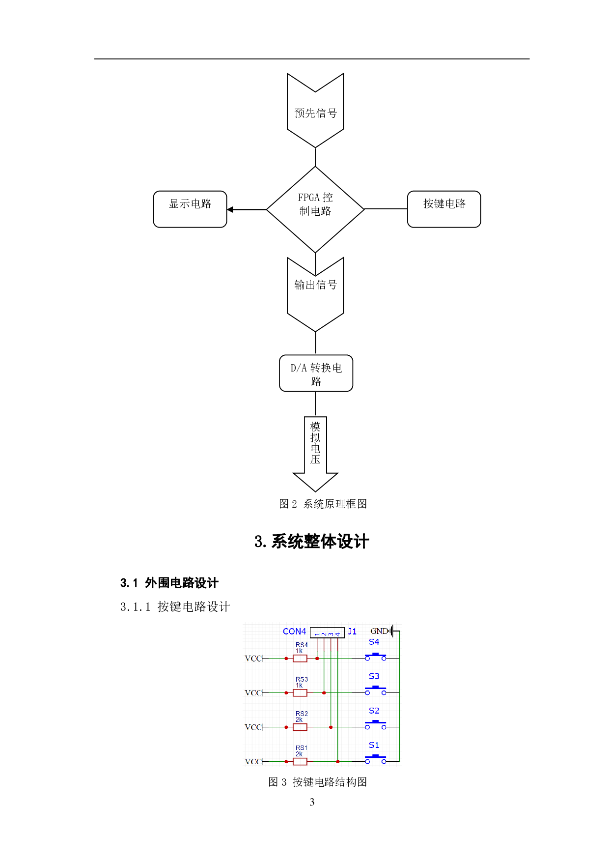
目 录 前 言 .................................................... 1 1.概 述 .................................................. 1 1.1 EDA技术 ...................................................... 1 1.2 研究现状 ..................................................... 1 2.系统设计方案 ........................................... 2 2.1 直流电源基本原理 ............................................. 2 2.2 FPGA控制电路设计原理 ......................................... 2 3.系统整体设计 ............
基于EDA的稳压电源设计-6880字.pdf