文库 军队文职 经济学

军队文职笔试考点集锦【经济学】.pdf

PDF   60页   下载0   2025-10-31   浏览61   收藏0   点赞0   评分-   19544字   6积分
温馨提示:当前文档最多只能预览 10 页,若文档总页数超出了 10 页,请下载原文档以浏览全部内容。
军队文职笔试考点集锦【经济学】.pdf 第1页
军队文职笔试考点集锦【经济学】.pdf 第2页
军队文职笔试考点集锦【经济学】.pdf 第3页
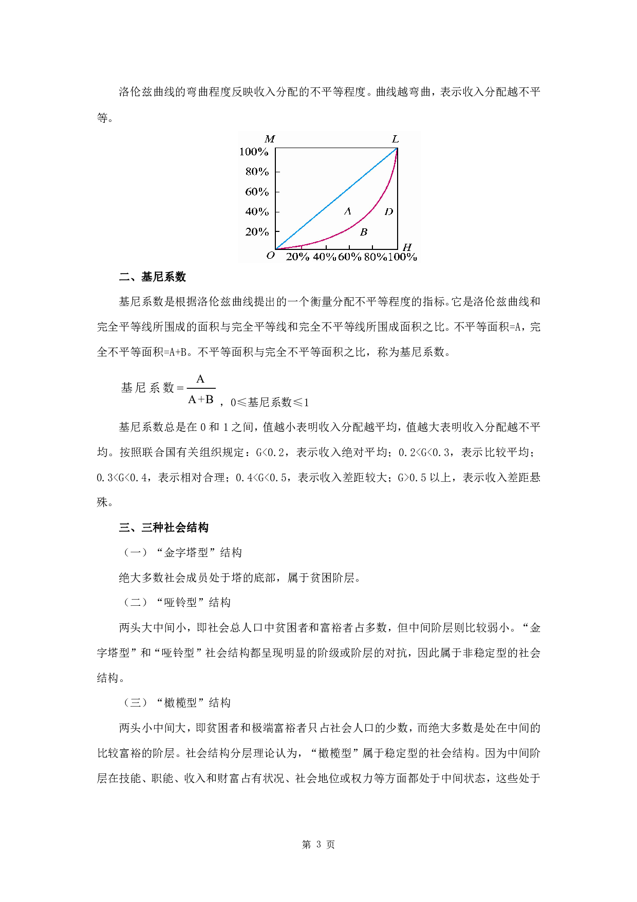
军队文职笔试考点集锦【经济学】.pdf 第4页
军队文职笔试考点集锦【经济学】.pdf 第5页
军队文职笔试考点集锦【经济学】.pdf 第6页
军队文职笔试考点集锦【经济学】.pdf 第7页
军队文职笔试考点集锦【经济学】.pdf 第8页
军队文职笔试考点集锦【经济学】.pdf 第9页
军队文职笔试考点集锦【经济学】.pdf 第10页
剩余50页未读, 下载浏览全部
军队文职笔试考点集锦 《经济学》 目录 第一部分 经济学篇 ...........................................................................................................................1 考点一:市场均衡及应用 .............................................................................................................1 考点二:洛伦兹曲线和基尼系数 .................................................................................................2 考点三:货币市场的一般均衡 ..............................
军队文职笔试考点集锦【经济学】.pdf