文库 机械管理与电气自动化 机械工程

智能取件机器人——控制电路设计-11912字.docx

2022及前全 DOCX   40页   下载0   2026-01-12   浏览2   收藏0   点赞0   评分-   15208字   20.00
温馨提示:当前文档最多只能预览 10 页,若文档总页数超出了 10 页,请下载原文档以浏览全部内容。
智能取件机器人——控制电路设计-11912字.docx 第1页
智能取件机器人——控制电路设计-11912字.docx 第2页
智能取件机器人——控制电路设计-11912字.docx 第3页
智能取件机器人——控制电路设计-11912字.docx 第4页
智能取件机器人——控制电路设计-11912字.docx 第5页
智能取件机器人——控制电路设计-11912字.docx 第6页
智能取件机器人——控制电路设计-11912字.docx 第7页
智能取件机器人——控制电路设计-11912字.docx 第8页
智能取件机器人——控制电路设计-11912字.docx 第9页
智能取件机器人——控制电路设计-11912字.docx 第10页
剩余30页未读, 下载浏览全部
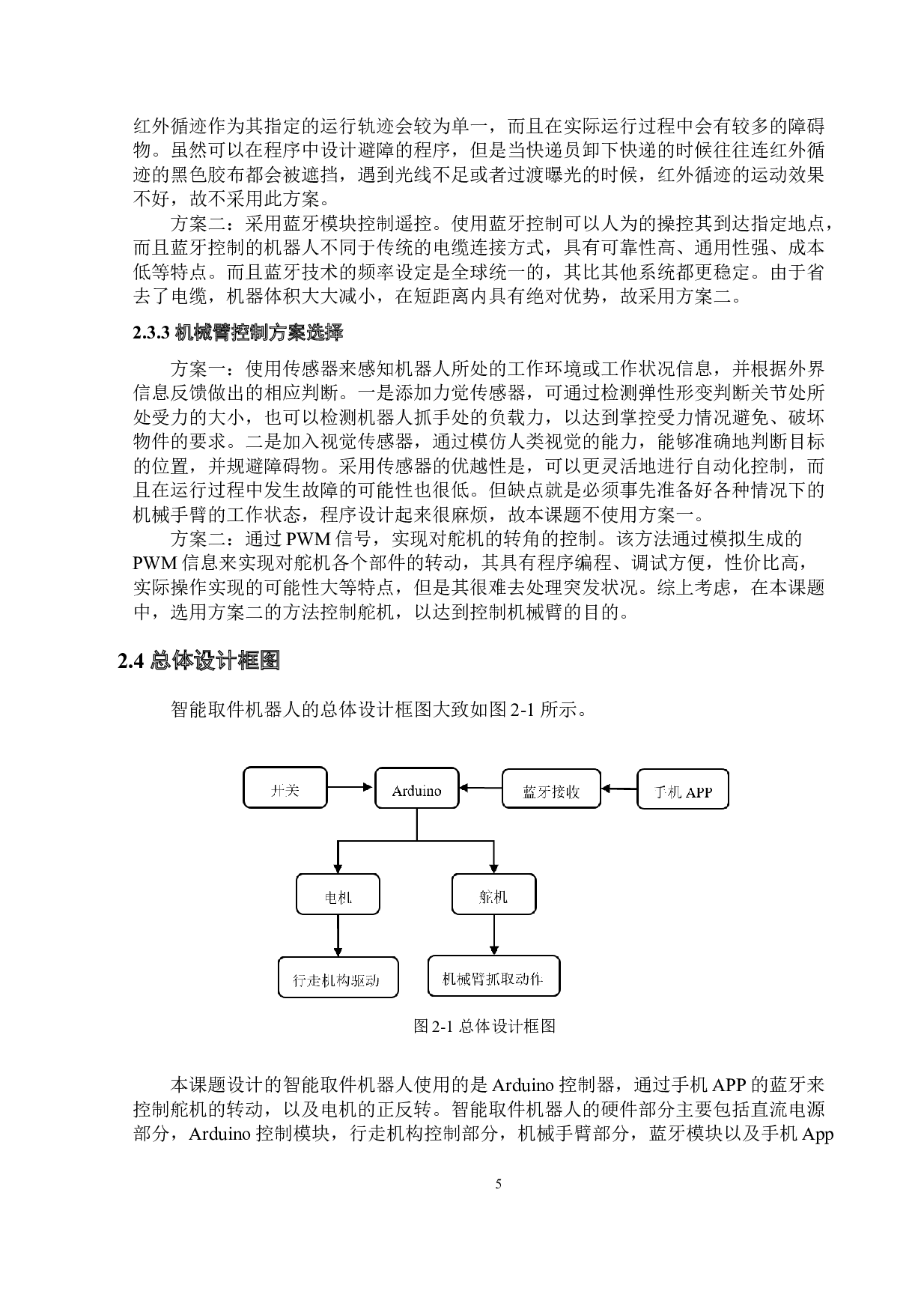
智能取件机器人 ——控制 电路 设计 摘要 近年来, 随着 网络购物的使用与日俱增, 快递业务量快速增长 , 物流行业也 将面临着巨大的挑战 , 智能化 也将 成为快递行业 持续有力 发展的 重要途径 。 本文对 智能取件机器人 的 设计方案 的选择 、元器件的 选型, 电路的 设计进行 了详细地 说明。 设计过程中主要 利用 Altium Designer 电路设计软件进行原理图 的 设计 , 通过 Arduino IDE 软件 进行程序的 编译 。 该 机器人由 4 个电机 驱动 控制的 行走 机构, 和 4 个 MG99 5 舵机控制的 机械 臂 组成 , 整 体 使用 Arduino U no
智能取件机器人——控制电路设计-11912字.docx