文库 计算机 电子信息工程

基于6818平台的RFID卡的智能门禁系系统设计-11567字.docx

DOCX   52页   下载0   2025-10-28   浏览41   收藏0   点赞0   评分-   24032字   6积分
温馨提示:当前文档最多只能预览 10 页,若文档总页数超出了 10 页,请下载原文档以浏览全部内容。
基于6818平台的RFID卡的智能门禁系系统设计-11567字.docx 第1页
基于6818平台的RFID卡的智能门禁系系统设计-11567字.docx 第2页
基于6818平台的RFID卡的智能门禁系系统设计-11567字.docx 第3页
基于6818平台的RFID卡的智能门禁系系统设计-11567字.docx 第4页
基于6818平台的RFID卡的智能门禁系系统设计-11567字.docx 第5页
基于6818平台的RFID卡的智能门禁系系统设计-11567字.docx 第6页
基于6818平台的RFID卡的智能门禁系系统设计-11567字.docx 第7页
基于6818平台的RFID卡的智能门禁系系统设计-11567字.docx 第8页
基于6818平台的RFID卡的智能门禁系系统设计-11567字.docx 第9页
基于6818平台的RFID卡的智能门禁系系统设计-11567字.docx 第10页
剩余42页未读, 下载浏览全部
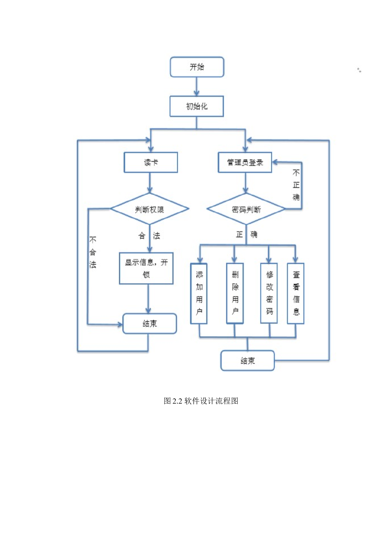
基于6818平台的RFID卡的智能门禁系统设计 摘 要 在现代社会中,随着社会生产力的提高和科技的发展,人们对自身财产的保护意识和隐藏意识在不断的增加,自然而然的就是人们对于锁的要求会越来越高,对锁的先进性和智能型会有更多的需求。对于提供住房住址的房地产开发商们来说,市场需求就是商机来源,于是,新型智能门禁系统就成为未来的前景之一。它可以根据权限判断是否允许开门进入,判断是否为小区业主,从而达到保护私人财产的作用。如今,这种新型智能门禁系统正被广泛应用于各种小区楼房,还有各种办公大楼中,具有极高的市
基于6818平台的RFID卡的智能门禁系系统设计-11567字.docx