文库 外语学习 英语

浅析新零售下山姆会员商店的中国市场竞争战略-6817字.pdf

2022及前全 PDF   23页   下载0   2026-01-13   浏览2   收藏0   点赞0   评分-   36609字   20.00
温馨提示:当前文档最多只能预览 10 页,若文档总页数超出了 10 页,请下载原文档以浏览全部内容。
浅析新零售下山姆会员商店的中国市场竞争战略-6817字.pdf 第1页
浅析新零售下山姆会员商店的中国市场竞争战略-6817字.pdf 第2页
浅析新零售下山姆会员商店的中国市场竞争战略-6817字.pdf 第3页
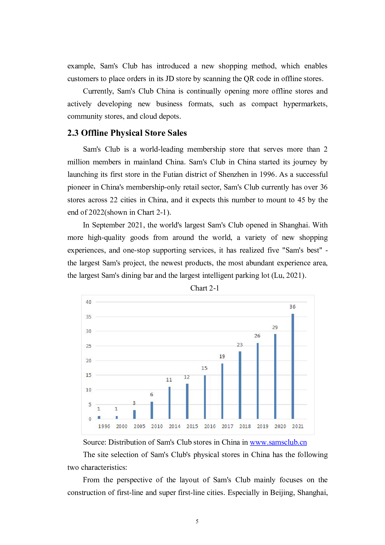
浅析新零售下山姆会员商店的中国市场竞争战略-6817字.pdf 第4页
浅析新零售下山姆会员商店的中国市场竞争战略-6817字.pdf 第5页
浅析新零售下山姆会员商店的中国市场竞争战略-6817字.pdf 第6页
浅析新零售下山姆会员商店的中国市场竞争战略-6817字.pdf 第7页
浅析新零售下山姆会员商店的中国市场竞争战略-6817字.pdf 第8页
浅析新零售下山姆会员商店的中国市场竞争战略-6817字.pdf 第9页
浅析新零售下山姆会员商店的中国市场竞争战略-6817字.pdf 第10页
剩余13页未读, 下载浏览全部
I MarketundertheNewRetailEnvironment Abstract SinceJackMaputforwardthenewretailconcept,China'sphysicalretailfield hasundergonetremendouschanges.Thereconstructionoftheconsumptionupgrading scene.Undertheguidanceofconstantlyinnovativenewtechnologiessuchasbigdata andcloudcomputing,traditionalretailandonlinee-commerceareshowingastateof blending.Inthenewretailbusinessenvironment,howtofurtherimprovethe traditionalretailindustry'scompetitiveadvantagehasbecomeanurgentproblemtobe studied. Therearetwomainr
浅析新零售下山姆会员商店的中国市场竞争战略-6817字.pdf