文库 计算机 电子信息工程

基于STM32的点菜机-11889字.docx

DOCX   37页   下载0   2025-10-28   浏览9   收藏0   点赞0   评分-   21060字   6积分
温馨提示:当前文档最多只能预览 10 页,若文档总页数超出了 10 页,请下载原文档以浏览全部内容。
基于STM32的点菜机-11889字.docx 第1页
基于STM32的点菜机-11889字.docx 第2页
基于STM32的点菜机-11889字.docx 第3页
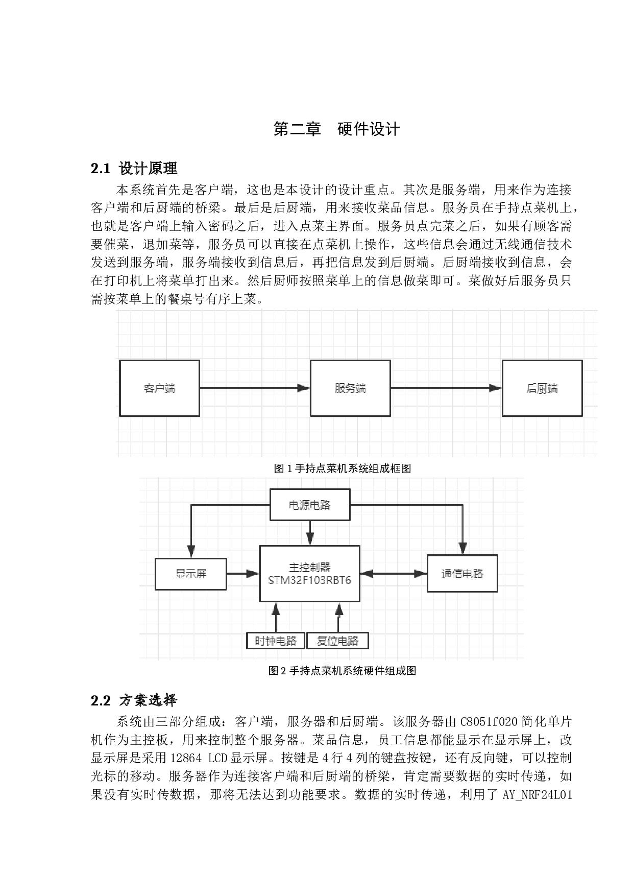
基于STM32的点菜机-11889字.docx 第4页
基于STM32的点菜机-11889字.docx 第5页
基于STM32的点菜机-11889字.docx 第6页
基于STM32的点菜机-11889字.docx 第7页
基于STM32的点菜机-11889字.docx 第8页
基于STM32的点菜机-11889字.docx 第9页
基于STM32的点菜机-11889字.docx 第10页
剩余27页未读, 下载浏览全部
摘 要 点菜机是用于 酒店服务员手持无纸化点菜,采用STM32F103RBT6芯片,这是一款基于CortexM3内核的芯片。显示器采用2.0 寸TFTLCD屏,分辨率220*176。显示屏的功能实现,利用了SPI协议。通用定时器具有输出PWM波的功能,利用该功能,我可以调节显示器的亮度。芯片自带了12位A/D转换,用来监控电池电量,从而达到电量显示的功能。总共有18个按键,有方向键,还有数字按键,数字按键以九宫格形式排列。当一段时间不操作点菜机时,将自动息屏进入省电模式,这段时间的长短是可以由用户设置的。通信方面是采用串口无线通信技术,更新菜谱、
基于STM32的点菜机-11889字.docx