添加到电脑桌面
添加到电脑桌面,以后点击桌面图标一键打开,无需搜索,非常快捷!
立即添加
资源篮
0
普通会员
限时优惠
登录
文档分类
计算机
金融/投资/证券
医药卫生
汽车/机械
外语学习
法律/法规/法学
研究生考试
电子工程
经济/贸易/财会
建筑/施工
幼儿/小学教育
文学/历史
教师资格考试
学术论文
上传下载
我要上传
上传规定
关于下载
下载须知
上传说明
投稿帮助
关于积分
关于提现
新手攻略
文档认领
特殊渠道特权
VIP收益说明
协议条款
用户协议
隐私政策
商户服务协议
上传积分文档协议
会员服务协议
文库
外语学习
英语
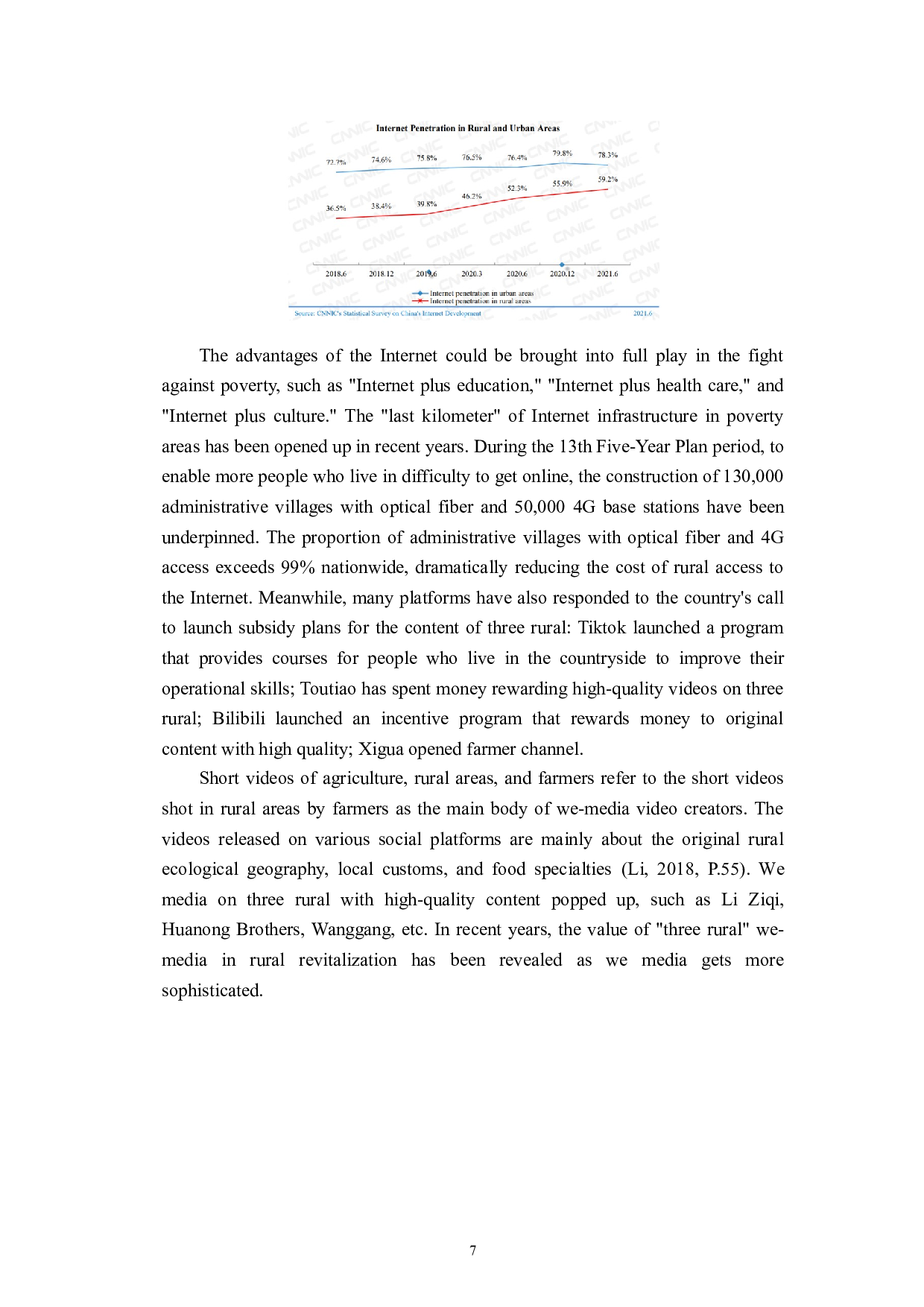
自媒体在乡村振兴的发展和影响-6966字.doc
2022及前全
DOC
24页
下载0
2026-01-13
浏览2
收藏0
点赞0
评分-
20.00
温馨提示:当前文档最多只能预览 10 页,若文档总页数超出了 10 页,请下载原文档以浏览全部内容。
剩余14页未读,
下载浏览全部
收藏
已收藏
喜欢
已喜欢
文档描述
自媒体在乡村振兴的发展和影响-6966字.doc
ruan
这个人很懒,什么都没留下
个人认证
查看用户
该文档于
上传
推荐文档
最新文档
双减政策下的教育培训机构改革研究——以新东方教育科技集团为例-9645字.docx
直播经济下中国美妆行业分析:以“小红书”为例-10015字.doc
社会语言学视角下浅析 2020-2021 年中日英三语流行热词-10427字.docx
跨文化传播视角下的华为海外广告分析-7353字.docx
夜间经济中文化产业的发展趋势与营销策略的分析——24小时叶壹堂书店案例研究-5618字.docx
从跨文化角度分析广告翻译技巧——以好时巧克力为例-5608字.doc
不同年龄组的心理特点和教育方法-5807字.docx
一带一路背景下商务英语专业教学探析——以茶产业为例-8905字.doc
企业面向国际化发展时面临的文化差异问题-8581字.doc
从霍夫斯泰德的文化维度理论分析中美对待新冠肺炎疫情的不同态度-8375字.docx