文库 全国硕士研究生统一招生考试 数学

【横版】26版张宇1000题数一高数强化做题本.pdf

PDF   490页   下载0   2025-11-04   浏览15   收藏0   点赞0   评分-   74541字   6积分
温馨提示:当前文档最多只能预览 10 页,若文档总页数超出了 10 页,请下载原文档以浏览全部内容。
【横版】26版张宇1000题数一高数强化做题本.pdf 第1页
【横版】26版张宇1000题数一高数强化做题本.pdf 第2页
【横版】26版张宇1000题数一高数强化做题本.pdf 第3页
【横版】26版张宇1000题数一高数强化做题本.pdf 第4页
【横版】26版张宇1000题数一高数强化做题本.pdf 第5页
【横版】26版张宇1000题数一高数强化做题本.pdf 第6页
【横版】26版张宇1000题数一高数强化做题本.pdf 第7页
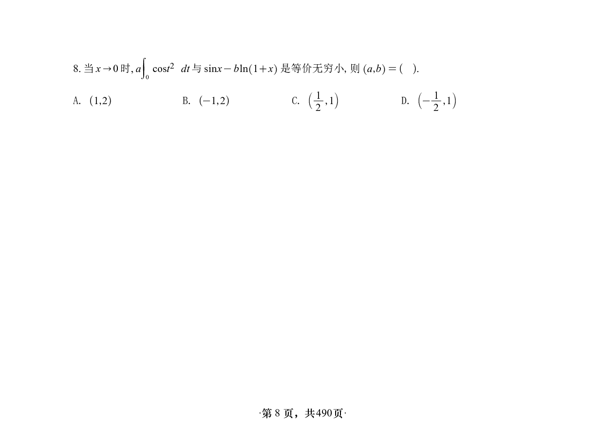
【横版】26版张宇1000题数一高数强化做题本.pdf 第8页
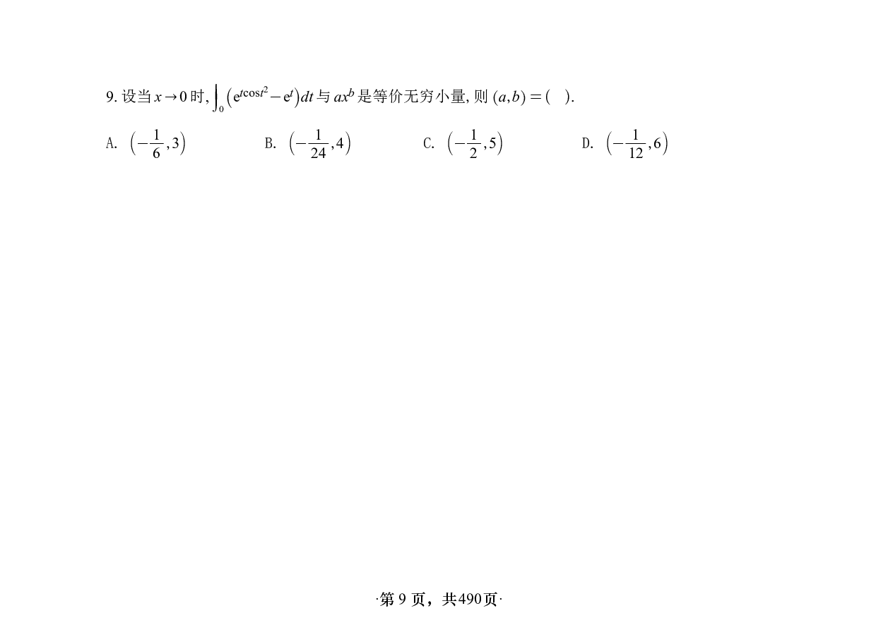
【横版】26版张宇1000题数一高数强化做题本.pdf 第9页
【横版】26版张宇1000题数一高数强化做题本.pdf 第10页
剩余480页未读, 下载浏览全部
1\1N-%J8?:?i?![c+R: 1.lim x?0 arcsinx x? ? 1 sin 2 x ??????. +{1A1?.S490A1 2.lim x?0 1 x0 1+sin2t  t ? dt??????. +{2A1?.S490A1 3.lim x?+3 x 2 x -1? ? lnx ??????. +{3A1?.S490A1 4.A?1?lim x?0 0 e t-x -1$ $? sintdt x 2 e x 2 -1  . +{4A1?.S490A1 5.A?lim x?0 1+2x+3x 2 + fx x         x ?e 5 ,%flim
【横版】26版张宇1000题数一高数强化做题本.pdf