文库 化学与材料工程 化学

磁性海藻炭的制备及其吸附罗丹明B的性能研究-8800字.docx

2022及前全 DOCX   17页   下载0   2026-01-15   浏览1   收藏0   点赞0   评分-   12813字   20.00
温馨提示:当前文档最多只能预览 10 页,若文档总页数超出了 10 页,请下载原文档以浏览全部内容。
磁性海藻炭的制备及其吸附罗丹明B的性能研究-8800字.docx 第1页
磁性海藻炭的制备及其吸附罗丹明B的性能研究-8800字.docx 第2页
磁性海藻炭的制备及其吸附罗丹明B的性能研究-8800字.docx 第3页
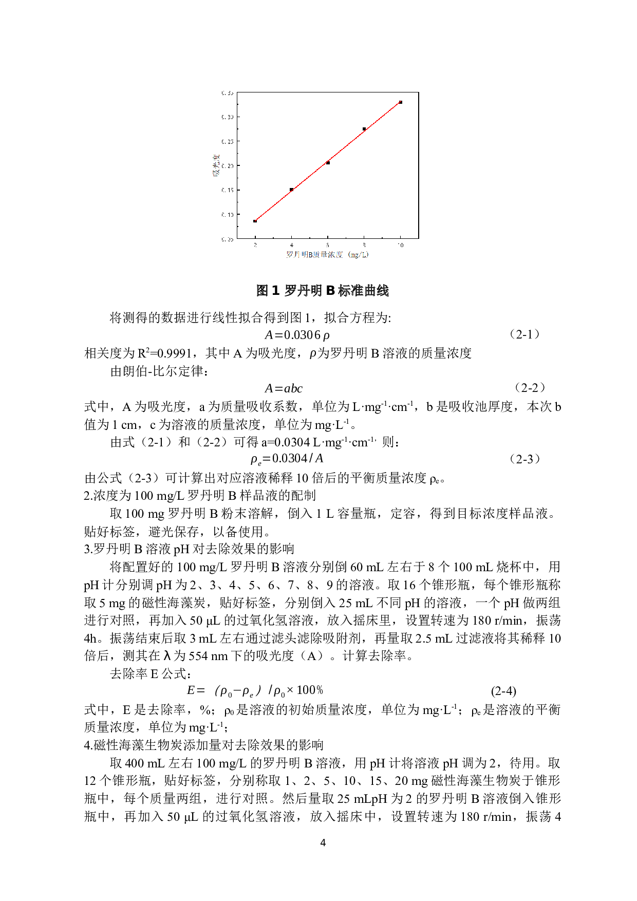
磁性海藻炭的制备及其吸附罗丹明B的性能研究-8800字.docx 第4页
磁性海藻炭的制备及其吸附罗丹明B的性能研究-8800字.docx 第5页
磁性海藻炭的制备及其吸附罗丹明B的性能研究-8800字.docx 第6页
磁性海藻炭的制备及其吸附罗丹明B的性能研究-8800字.docx 第7页
磁性海藻炭的制备及其吸附罗丹明B的性能研究-8800字.docx 第8页
磁性海藻炭的制备及其吸附罗丹明B的性能研究-8800字.docx 第9页
磁性海藻炭的制备及其吸附罗丹明B的性能研究-8800字.docx 第10页
剩余7页未读, 下载浏览全部
磁性海藻炭的制备及其吸附罗丹明B的性能 研究 作者: 曾莹莹 指导教师: 冯文 实验员 (海南师范大学 化学与化工学院,海口,571158) 摘 要: 本研究使用共沉淀法将海藻制备成磁性海藻生物炭(Fe 3 O 4 @ABc),研究其对罗丹明B溶液的 去除效果 ,考察pH、磁性海藻炭添加量、过氧化氢添加量、实验温度、吸附时间和初始质量浓度对 去除效果 的影响。结果表明:溶液浓度为100 mg/L、pH为2、磁性海藻生物炭添加量为10 mg、过氧化氢添加量为100 μ L 、实验温度为45℃、吸附4 h时 去除效果 最好。 关键词: 海藻生物炭;吸附;罗丹明B
磁性海藻炭的制备及其吸附罗丹明B的性能研究-8800字.docx