文库 机械管理与电气自动化 汽车服务工程

保定五洲长城汽车4s店的营销模式分析-8523字.docx

2022及前全 DOCX   16页   下载0   2026-01-04   浏览12   收藏0   点赞0   评分-   9946字   20.00
温馨提示:当前文档最多只能预览 10 页,若文档总页数超出了 10 页,请下载原文档以浏览全部内容。
保定五洲长城汽车4s店的营销模式分析-8523字.docx 第1页
保定五洲长城汽车4s店的营销模式分析-8523字.docx 第2页
保定五洲长城汽车4s店的营销模式分析-8523字.docx 第3页
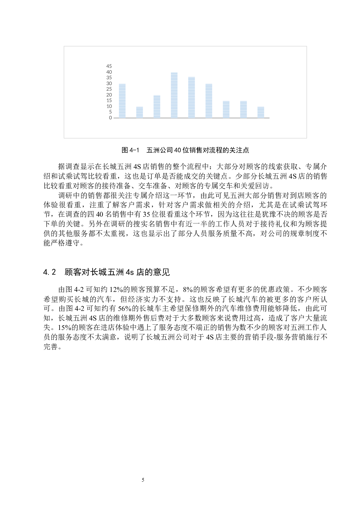
保定五洲长城汽车4s店的营销模式分析-8523字.docx 第4页
保定五洲长城汽车4s店的营销模式分析-8523字.docx 第5页
保定五洲长城汽车4s店的营销模式分析-8523字.docx 第6页
保定五洲长城汽车4s店的营销模式分析-8523字.docx 第7页
保定五洲长城汽车4s店的营销模式分析-8523字.docx 第8页
保定五洲长城汽车4s店的营销模式分析-8523字.docx 第9页
保定五洲长城汽车4s店的营销模式分析-8523字.docx 第10页
剩余6页未读, 下载浏览全部
摘    要 当今社会汽车已经是人们出行必不可少的重要工具,随着我国经济水平不断提高,汽车也进入越来越多的家庭,汽车 4s 店也像雨后春笋般出现。现如今,随着汽车市场的竞争愈发激烈,对于 4s 店的营销模式做出创新和改变迫在眉睫。本文以保定长城五洲 4s 店例, 通过对战略管理及市场营销等相关理论 的阐述和分析,结合汽车行业的具体现状和本人的实地考察,对保定长城五洲 4s 店内的营销模式做相关的数据收集、整理和分析,发现其存在的问题,并提出自己的建议。并把营销策略对成交的影响,客户的关注点结合进行分析。 关键词 : 营
保定五洲长城汽车4s店的营销模式分析-8523字.docx