文库 化学与材料工程 化学

FeCo2O4电极材料的制备及其性能研究-4383字.docx

2022及前全 DOCX   10页   下载0   2026-01-15   浏览1   收藏0   点赞0   评分-   8371字   20.00
FeCo2O4电极材料的制备及其性能研究-4383字.docx 第1页
FeCo2O4电极材料的制备及其性能研究-4383字.docx 第2页
FeCo2O4电极材料的制备及其性能研究-4383字.docx 第3页
FeCo2O4电极材料的制备及其性能研究-4383字.docx 第4页
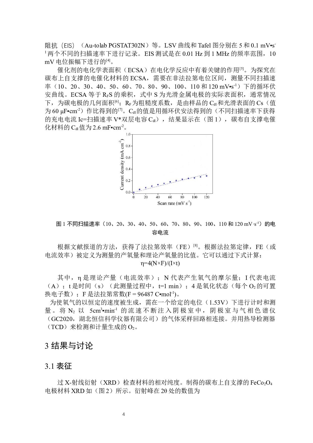
FeCo2O4电极材料的制备及其性能研究-4383字.docx 第5页
FeCo2O4电极材料的制备及其性能研究-4383字.docx 第6页
FeCo2O4电极材料的制备及其性能研究-4383字.docx 第7页
FeCo2O4电极材料的制备及其性能研究-4383字.docx 第8页
FeCo2O4电极材料的制备及其性能研究-4383字.docx 第9页
FeCo2O4电极材料的制备及其性能研究-4383字.docx 第10页
目 录 摘 要 1 引 言 2 1 实验部分 2 1.1 实验试剂 与仪器 2 1.2 样品的制备 2 2 催化剂 的 表征 和电化学性能测试 3 2.1 催化剂的表征 3 2.2 电化学测试 3 3 结果与讨论 5 3.1 表征 5 3.2 电化学分析 6 4 结 论 8 参考文献 8 FeCo 2 O 4 电极材料的制备及其性能研究 摘 要: 尖晶石钴酸盐 ACo 2 O 4 ( A = Mn、Fe、Co、Ni、Cu 或 Zn) 由于 可以精确 地 调节 材料的结构及 性质 ,因此在裂解水方面具有较高的实际应用价值。 本论文以 硝酸铁 Fe(NO 3 ) 2 •6H 2 O、硝酸钴Co (NO 3 ) 2 •6H 2 O、尿素CO ( NH 2 ) 2 、氟化
FeCo2O4电极材料的制备及其性能研究-4383字.docx