文库 机械管理与电气自动化 电气工程

基于PLC的小区门禁控制系统设计-11684字.docx

2022及前全 DOCX   41页   下载0   2026-01-15   浏览0   收藏0   点赞0   评分-   16106字   20.00
温馨提示:当前文档最多只能预览 10 页,若文档总页数超出了 10 页,请下载原文档以浏览全部内容。
基于PLC的小区门禁控制系统设计-11684字.docx 第1页
基于PLC的小区门禁控制系统设计-11684字.docx 第2页
基于PLC的小区门禁控制系统设计-11684字.docx 第3页
基于PLC的小区门禁控制系统设计-11684字.docx 第4页
基于PLC的小区门禁控制系统设计-11684字.docx 第5页
基于PLC的小区门禁控制系统设计-11684字.docx 第6页
基于PLC的小区门禁控制系统设计-11684字.docx 第7页
基于PLC的小区门禁控制系统设计-11684字.docx 第8页
基于PLC的小区门禁控制系统设计-11684字.docx 第9页
基于PLC的小区门禁控制系统设计-11684字.docx 第10页
剩余31页未读, 下载浏览全部
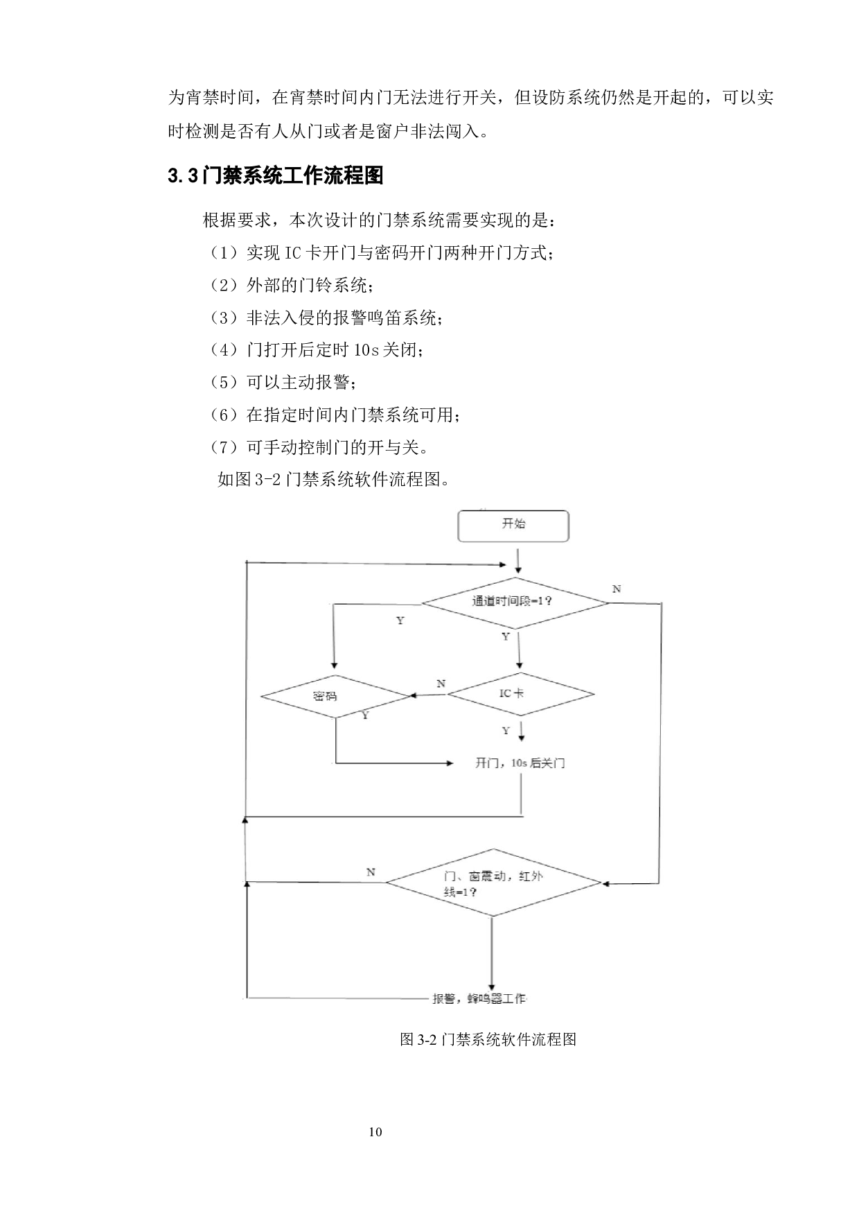
毕业设计说明书(论文)中文摘要 随着科学的不断发展,为了缓解以前传统大门需要保安看守,费时费力,安全系数不高等种种问题,门禁系统应运而生。门禁系统是对日常生活安全的保障。近些年来,门禁系统实现了质的飞跃。先后出现了密码识别,IC卡识别,面部识别等多种门禁系统。本 次 所设计的 门禁系统 主要是基于PLC控制器 和读卡器、进步电机 等诸多零部件构成。本文首先对 门禁系统 这一课题做了简单的介绍,包括 门禁系统 的 发展 背景、 门禁系统的 研究意义以及 门禁系统 的发展现状。然后讨论和分析了 门禁系统 的硬件结构、组成和
基于PLC的小区门禁控制系统设计-11684字.docx