文库 数字媒体与文化传播 新闻

《数字赋能:让适老化媒介消弭银发鸿沟》-10992字.docx

2022及前全 DOCX   17页   下载0   2026-01-15   浏览2   收藏0   点赞0   评分-   12976字   20.00
温馨提示:当前文档最多只能预览 10 页,若文档总页数超出了 10 页,请下载原文档以浏览全部内容。
《数字赋能:让适老化媒介消弭银发鸿沟》-10992字.docx 第1页
《数字赋能:让适老化媒介消弭银发鸿沟》-10992字.docx 第2页
《数字赋能:让适老化媒介消弭银发鸿沟》-10992字.docx 第3页
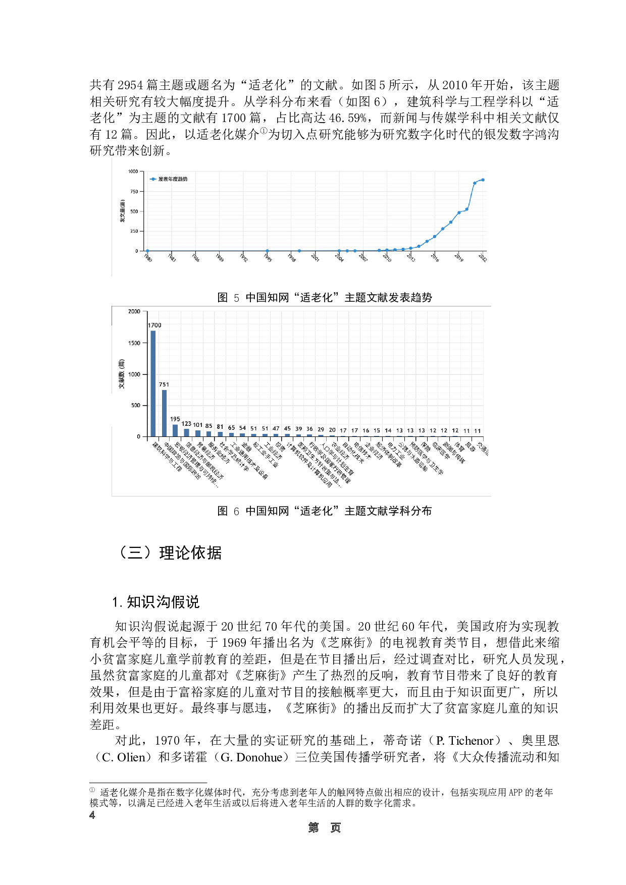
《数字赋能:让适老化媒介消弭银发鸿沟》-10992字.docx 第4页
《数字赋能:让适老化媒介消弭银发鸿沟》-10992字.docx 第5页
《数字赋能:让适老化媒介消弭银发鸿沟》-10992字.docx 第6页
《数字赋能:让适老化媒介消弭银发鸿沟》-10992字.docx 第7页
《数字赋能:让适老化媒介消弭银发鸿沟》-10992字.docx 第8页
《数字赋能:让适老化媒介消弭银发鸿沟》-10992字.docx 第9页
《数字赋能:让适老化媒介消弭银发鸿沟》-10992字.docx 第10页
剩余7页未读, 下载浏览全部
摘要 人民网调查显示,截至2021年2月28日,在超过520万网民投票中,“数字生活”入选10个最关心的两会热词。新冠疫情期间,行程通行卡、健康码等疫情防控方法成为部分老年人出行的数字 围栏,使得部分老年人出行受阻 。随着数字化转型进入下半场,逐渐从“接入机会差异”转变为“使用能力差异”。银发数字鸿沟问题,表面上看是技术 无法全面 触达 老年群体 的问题,实则是 众多 老龄化社会问题的一个 扩展和延伸 ,因此,探讨银发群体面临的数字鸿沟困境和破局之路具有重要意义。 关键词: 适老化媒介;银发鸿沟;老年群体;数字鸿沟; Abstract
《数字赋能:让适老化媒介消弭银发鸿沟》-10992字.docx