文库 化学与材料工程 化学

紫外分光光度法测定硝酸盐氮实验探究-7942字.docx

2022及前全 DOCX   14页   下载0   2026-01-04   浏览10   收藏0   点赞0   评分-   11342字   20.00
温馨提示:当前文档最多只能预览 10 页,若文档总页数超出了 10 页,请下载原文档以浏览全部内容。
紫外分光光度法测定硝酸盐氮实验探究-7942字.docx 第1页
紫外分光光度法测定硝酸盐氮实验探究-7942字.docx 第2页
紫外分光光度法测定硝酸盐氮实验探究-7942字.docx 第3页
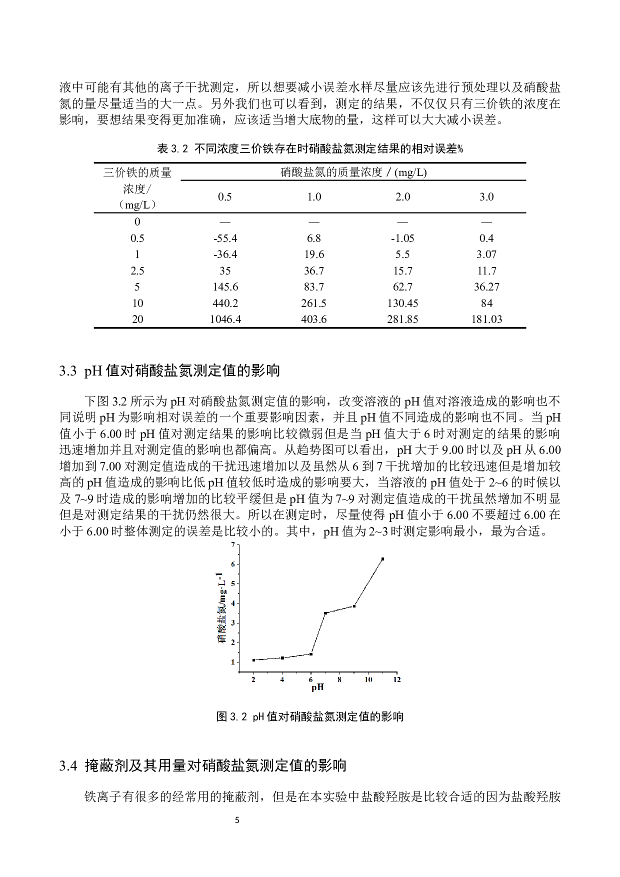
紫外分光光度法测定硝酸盐氮实验探究-7942字.docx 第4页
紫外分光光度法测定硝酸盐氮实验探究-7942字.docx 第5页
紫外分光光度法测定硝酸盐氮实验探究-7942字.docx 第6页
紫外分光光度法测定硝酸盐氮实验探究-7942字.docx 第7页
紫外分光光度法测定硝酸盐氮实验探究-7942字.docx 第8页
紫外分光光度法测定硝酸盐氮实验探究-7942字.docx 第9页
紫外分光光度法测定硝酸盐氮实验探究-7942字.docx 第10页
剩余4页未读, 下载浏览全部
摘 要 水中硝酸盐氮的含量太多会对人体造成一定的伤害,测定其在水中的含量非常有必要。采用紫外分光光度法测定水中硝酸盐氮的质量浓度时,三价铁离子对其干扰很大.同时,当硝酸盐氮的质量浓度越来越高时,干扰越来越低。 pH 值不同时,对其的影响也不同, pH 值偏低时影响较小, pH 值偏高时,干扰比较大。 pH 为 2 ~ 3 时最为合适。使用盐酸羟胺作为掩蔽剂,可以看到盐酸羟胺具有较好的掩蔽效果,改变加入浓度,掩蔽效果不同。当三价铁离子与盐酸羟胺的质量浓度之比为 1 : 1.4 时最为合适,掩蔽效果最好。改变三价铁离子的浓度,加入掩
紫外分光光度法测定硝酸盐氮实验探究-7942字.docx