文库 计算机 电子信息工程

基于STM32的平衡车系统设计-11507字.docx

DOCX   36页   下载0   2025-10-28   浏览10   收藏0   点赞0   评分-   15027字   6积分
温馨提示:当前文档最多只能预览 10 页,若文档总页数超出了 10 页,请下载原文档以浏览全部内容。
基于STM32的平衡车系统设计-11507字.docx 第1页
基于STM32的平衡车系统设计-11507字.docx 第2页
基于STM32的平衡车系统设计-11507字.docx 第3页
基于STM32的平衡车系统设计-11507字.docx 第4页
基于STM32的平衡车系统设计-11507字.docx 第5页
基于STM32的平衡车系统设计-11507字.docx 第6页
基于STM32的平衡车系统设计-11507字.docx 第7页
基于STM32的平衡车系统设计-11507字.docx 第8页
基于STM32的平衡车系统设计-11507字.docx 第9页
基于STM32的平衡车系统设计-11507字.docx 第10页
剩余26页未读, 下载浏览全部
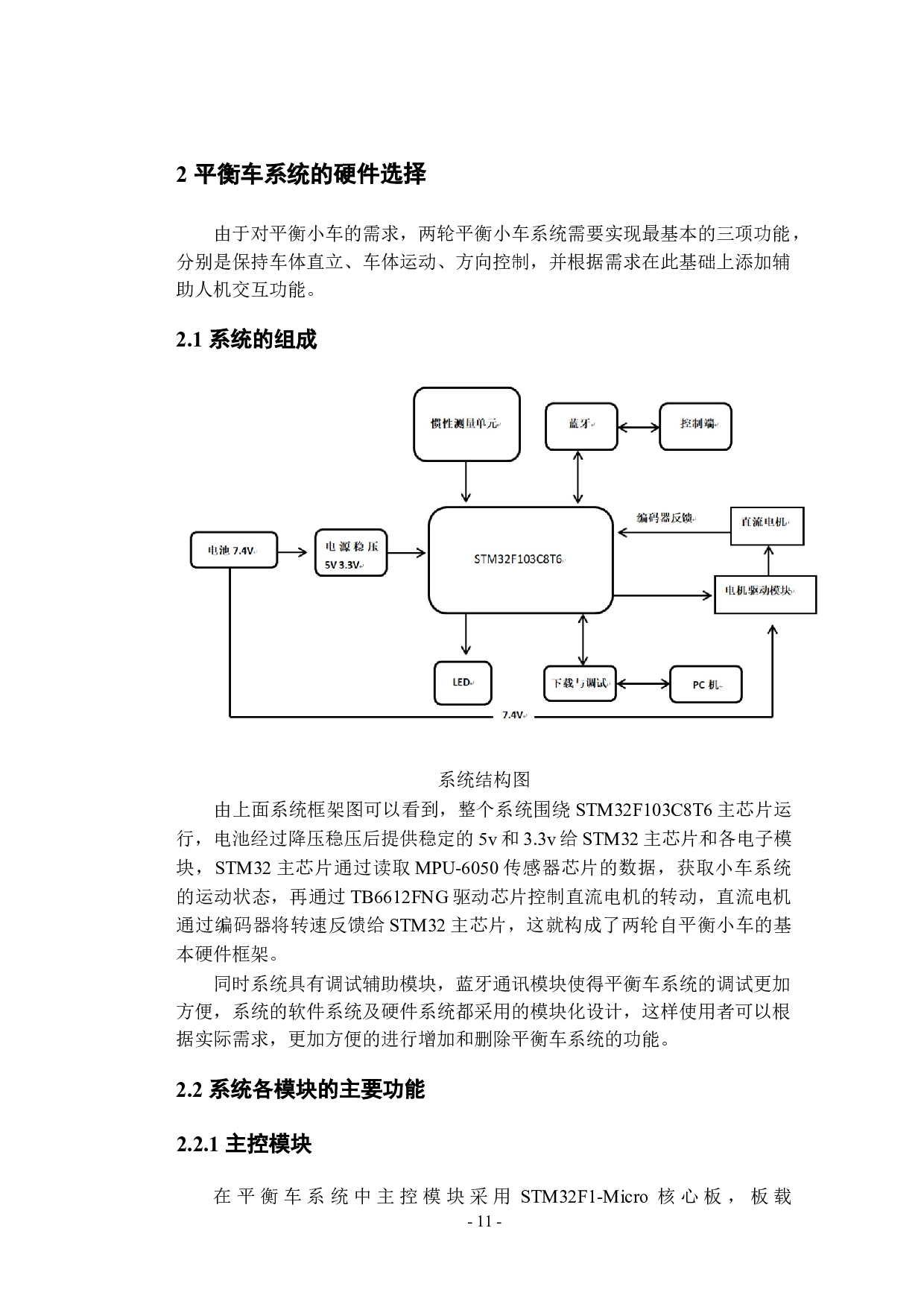
摘 要 本文主要介绍了基于STM32芯片的平衡车系统的设计方案,任务目标为能够自主站立的两轮平衡车系统,并在站立的前提下实现直立运行,由于ARM嵌入式微处理器有低成本、高性能等优点。所以本系统采用STM32F103作为主控芯片,并在此基础上增加了各种功能模块来组成整个硬件系统,包括单片机最小系统,电源稳压模块,直流电动机驱动模块以及传感器模块,通过采集车体姿态和速度信息来控制车体的姿态,采用PID控制算法控制车体姿态。利用蓝牙模块将车辆整体数据上传到控制器端,然后在控制器界面及OLED屏上显示小车当前状态数据信息,再分
基于STM32的平衡车系统设计-11507字.docx