文库 经济学 统计经济

非寿险精算中索赔次数和索赔额的分布-8342字.pdf

2023全 PDF   42页   下载0   2026-01-29   浏览1   收藏0   点赞0   评分-   12791字   40.00
温馨提示:当前文档最多只能预览 10 页,若文档总页数超出了 10 页,请下载原文档以浏览全部内容。
非寿险精算中索赔次数和索赔额的分布-8342字.pdf 第1页
非寿险精算中索赔次数和索赔额的分布-8342字.pdf 第2页
非寿险精算中索赔次数和索赔额的分布-8342字.pdf 第3页
非寿险精算中索赔次数和索赔额的分布-8342字.pdf 第4页
非寿险精算中索赔次数和索赔额的分布-8342字.pdf 第5页
非寿险精算中索赔次数和索赔额的分布-8342字.pdf 第6页
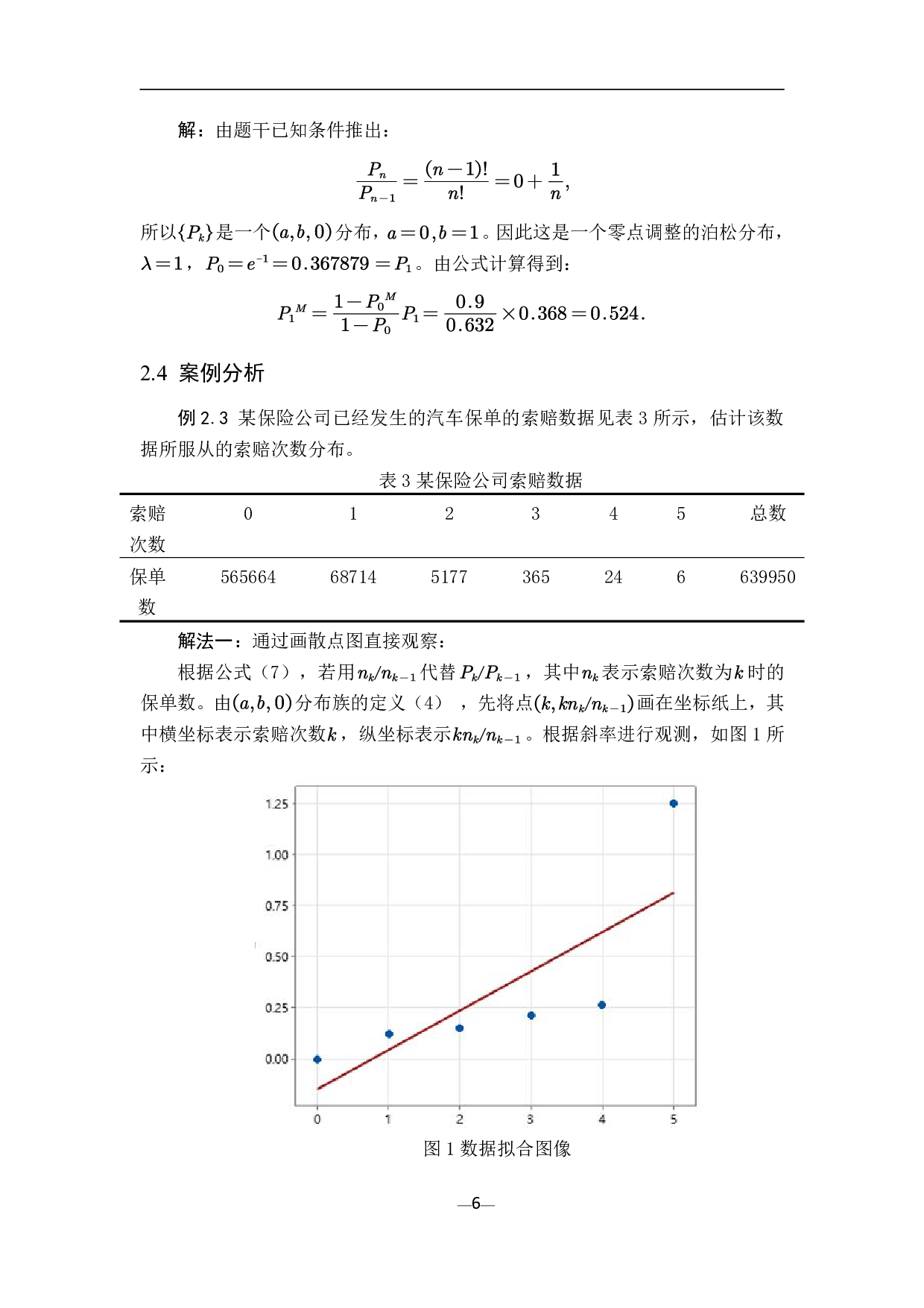
非寿险精算中索赔次数和索赔额的分布-8342字.pdf 第7页
非寿险精算中索赔次数和索赔额的分布-8342字.pdf 第8页
非寿险精算中索赔次数和索赔额的分布-8342字.pdf 第9页
非寿险精算中索赔次数和索赔额的分布-8342字.pdf 第10页
剩余32页未读, 下载浏览全部
I 非寿险精算中索赔次数和索赔额的分布 张利娇 【摘要】在非寿险精算学中,保险公司为准确估计保单的损失,需要研究索赔 次数和索赔额的分布,从而得到总索赔额的分布。索赔次数和索赔额的分布特征 的分析和统计推断在保费定价、风险控制和责任准备金提取等方面有重要作用。 本文首先介绍了刻画索赔次数的三大分布,并给出了索赔次数的(a,b,0)分布族 和(a,b,1)分布族,讨论了这些分布族的关系。其次,介绍了非寿险精算中常用 的索赔额的分布及其数字特征。最后,给出了聚合风险模型的定义,并研究了聚 合风险模型中索赔次数、索赔额和总索
非寿险精算中索赔次数和索赔额的分布-8342字.pdf