文库 化学与材料工程 化学

紫外分光光度法测定一次性纸杯中双酚A的含量-8994字.docx

2022及前全 DOCX   18页   下载0   2026-01-04   浏览20   收藏0   点赞0   评分-   12486字   20.00
温馨提示:当前文档最多只能预览 10 页,若文档总页数超出了 10 页,请下载原文档以浏览全部内容。
紫外分光光度法测定一次性纸杯中双酚A的含量-8994字.docx 第1页
紫外分光光度法测定一次性纸杯中双酚A的含量-8994字.docx 第2页
紫外分光光度法测定一次性纸杯中双酚A的含量-8994字.docx 第3页
紫外分光光度法测定一次性纸杯中双酚A的含量-8994字.docx 第4页
紫外分光光度法测定一次性纸杯中双酚A的含量-8994字.docx 第5页
紫外分光光度法测定一次性纸杯中双酚A的含量-8994字.docx 第6页
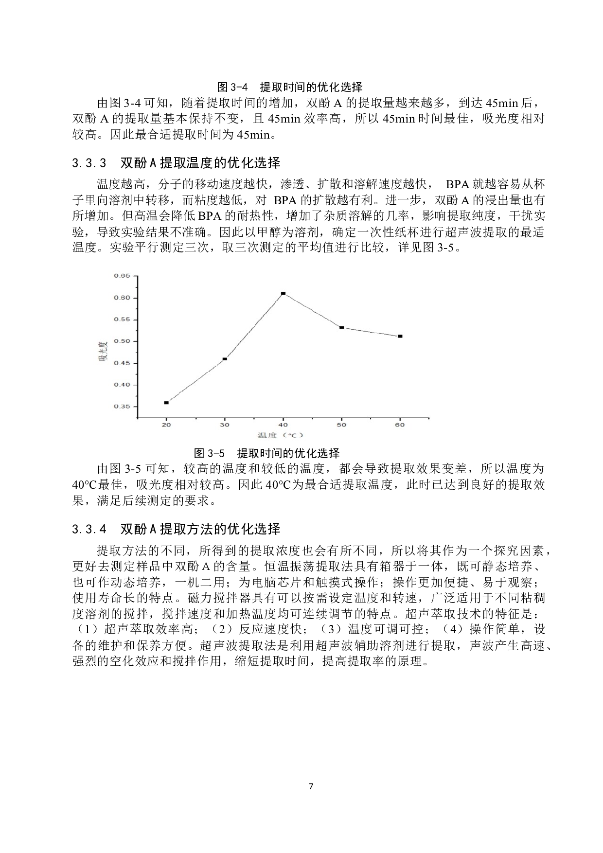
紫外分光光度法测定一次性纸杯中双酚A的含量-8994字.docx 第7页
紫外分光光度法测定一次性纸杯中双酚A的含量-8994字.docx 第8页
紫外分光光度法测定一次性纸杯中双酚A的含量-8994字.docx 第9页
紫外分光光度法测定一次性纸杯中双酚A的含量-8994字.docx 第10页
剩余8页未读, 下载浏览全部
摘  要 BPA 是一种在环境中不易分解且容易积累的酚类环境雌性荷尔蒙。 BPA 具有类似于雌性荷尔蒙的作用,甚至在很少的情况下都可以引起机体的内分泌紊乱。 所以本实验建立了一种快速测定一次性纸杯中双酚 A 的超声辅助 - 紫外分光光度法。对影响提取效果的主要因素提取溶剂、提取时间、提取温度、提取方法、料液比等进行了系统考察。实验表明,双酚 A 在 5~100μg/mL 范围内呈现良好的线性关系, 其线性回归方程为 A = 0.0149c + 0.005 ,相关系数 R 2 为 0.9996 , 最佳提取条件为:以甲醇 作 为提取溶剂,料液比 为 0.5g : 30mL (样
紫外分光光度法测定一次性纸杯中双酚A的含量-8994字.docx