文库 化学与材料工程 生物科学

蟹味菇多糖提取方法的比较与优化-9327字.docx

2022及前全 DOCX   17页   下载0   2026-01-05   浏览12   收藏0   点赞0   评分-   12806字   20.00
温馨提示:当前文档最多只能预览 10 页,若文档总页数超出了 10 页,请下载原文档以浏览全部内容。
蟹味菇多糖提取方法的比较与优化-9327字.docx 第1页
蟹味菇多糖提取方法的比较与优化-9327字.docx 第2页
蟹味菇多糖提取方法的比较与优化-9327字.docx 第3页
蟹味菇多糖提取方法的比较与优化-9327字.docx 第4页
蟹味菇多糖提取方法的比较与优化-9327字.docx 第5页
蟹味菇多糖提取方法的比较与优化-9327字.docx 第6页
蟹味菇多糖提取方法的比较与优化-9327字.docx 第7页
蟹味菇多糖提取方法的比较与优化-9327字.docx 第8页
蟹味菇多糖提取方法的比较与优化-9327字.docx 第9页
蟹味菇多糖提取方法的比较与优化-9327字.docx 第10页
剩余7页未读, 下载浏览全部
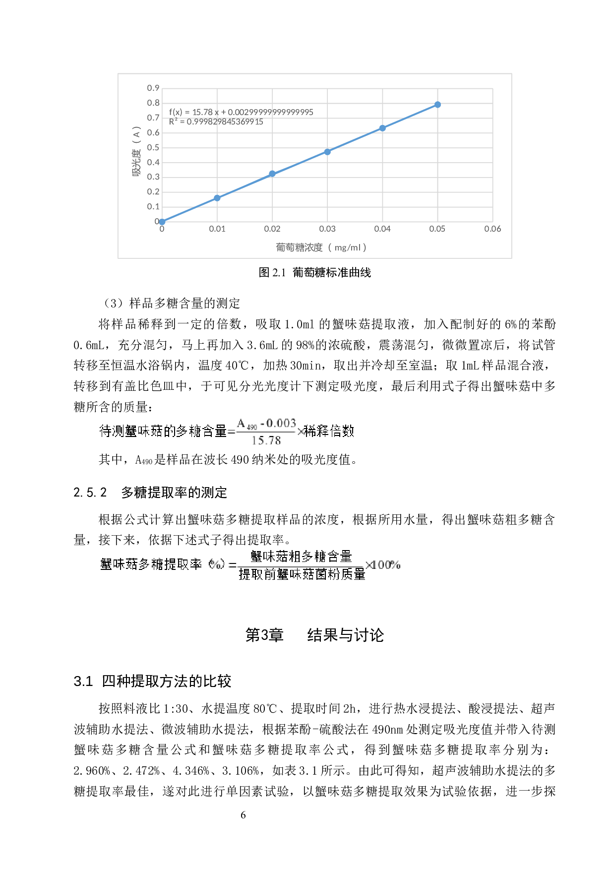
摘 要 蟹味菇是一种营养含量高、脂肪含量低的健康食品。在 蟹味菇中 可以 提取 得到具有很高的抵抗肿瘤 的 多糖物质: β-1,3-D葡聚糖 , 其还具 有 抵抗癌症、延缓衰老、增强自身免疫力、 延长寿命的独特功效 , 开发前景十分广阔。 本实验以蟹味菇子实体为原材料,初步研究了蟹味菇多糖提取方法的比较,并对最佳方法进行优化。 提取蟹味菇多糖共采用热水浸提法、酸浸提法、超声波辅助法、微波辅助法四种方法,将上述四种方法所得到的试验数据进行对比,结果显示,超声波辅助法所得的蟹味菇多糖提取率均大于其他三种方法,提取率为4
蟹味菇多糖提取方法的比较与优化-9327字.docx