文库 计算机 软件系统设计

基于Spring Boot的IT服务众包平台的设计与实现-14900字.docx

2022及前全 DOCX   43页   下载0   2026-01-08   浏览2   收藏0   点赞0   评分-   25034字   20.00
温馨提示:当前文档最多只能预览 10 页,若文档总页数超出了 10 页,请下载原文档以浏览全部内容。
基于Spring Boot的IT服务众包平台的设计与实现-14900字.docx 第1页
基于Spring Boot的IT服务众包平台的设计与实现-14900字.docx 第2页
基于Spring Boot的IT服务众包平台的设计与实现-14900字.docx 第3页
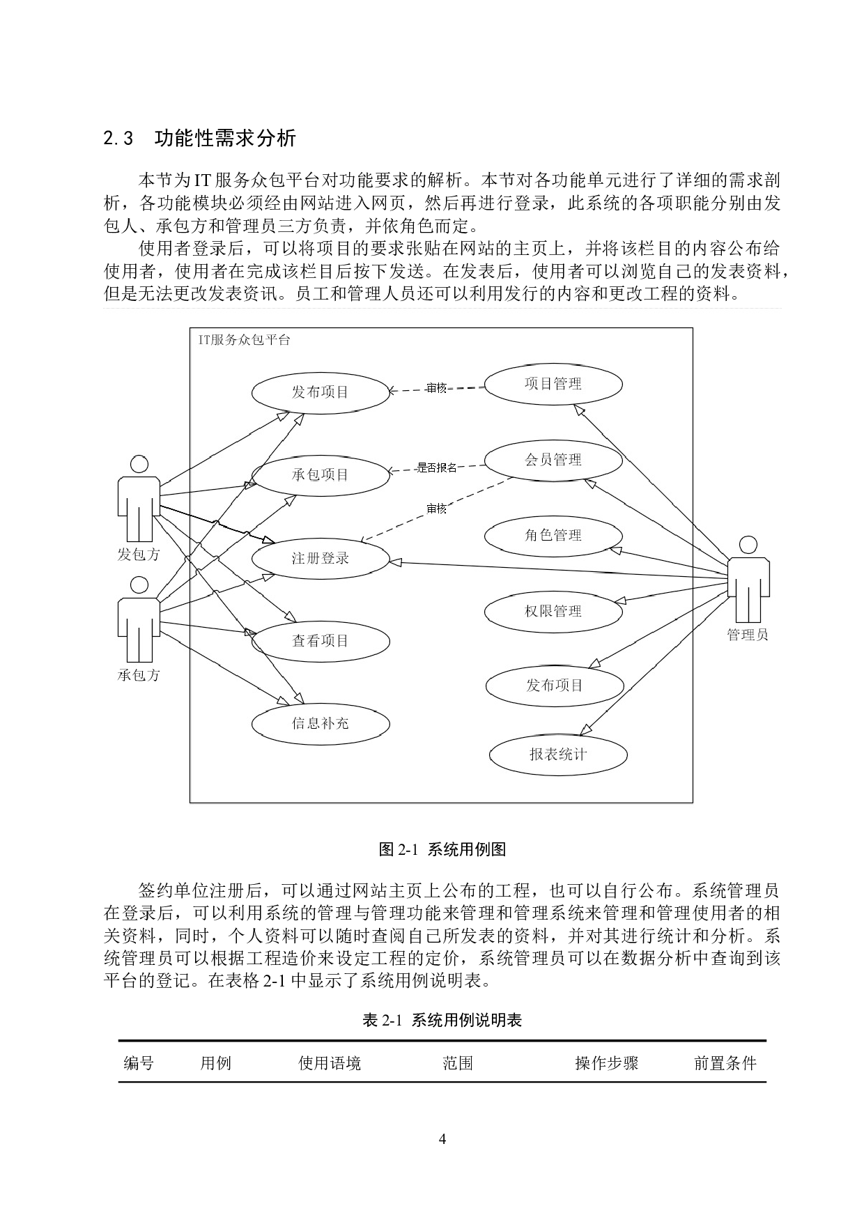
基于Spring Boot的IT服务众包平台的设计与实现-14900字.docx 第4页
基于Spring Boot的IT服务众包平台的设计与实现-14900字.docx 第5页
基于Spring Boot的IT服务众包平台的设计与实现-14900字.docx 第6页
基于Spring Boot的IT服务众包平台的设计与实现-14900字.docx 第7页
基于Spring Boot的IT服务众包平台的设计与实现-14900字.docx 第8页
基于Spring Boot的IT服务众包平台的设计与实现-14900字.docx 第9页
基于Spring Boot的IT服务众包平台的设计与实现-14900字.docx 第10页
剩余33页未读, 下载浏览全部
摘 要 2015 年国家推出 “ 万众 创业、万众创新 ” 政策,创业公司 一日千里 ,而猪八戒网刚好为这些 始创 公司提供一站式全生命周期服务。这股政策 盈余 就像助燃剂一样将猪八戒网推到风口上,快速孵化超过 20000 家中小微企业。此外,借势 “ 大众创业、万众创新 ” 政策,猪八戒网相继提出百城双创战略,落地 “ 下凡 ” 全国各地城市,打造 “ 八戒城市 ” 项目。 2016 年 众包服务 相继落地 36 个城市,从线上走向线下,从重庆走向全国,实施新一轮业务扩张,全方位的服务地方创业者,开创一片新的格局。 IT 服务 众包平台 从使用角度来
基于Spring Boot的IT服务众包平台的设计与实现-14900字.docx