文库 计算机 软件系统设计

个人电脑助手的设计和实现-14375字.pdf

2022及前全 PDF   55页   下载0   2026-01-13   浏览6   收藏0   点赞0   评分-   40925字   20.00
温馨提示:当前文档最多只能预览 10 页,若文档总页数超出了 10 页,请下载原文档以浏览全部内容。
个人电脑助手的设计和实现-14375字.pdf 第1页
个人电脑助手的设计和实现-14375字.pdf 第2页
个人电脑助手的设计和实现-14375字.pdf 第3页
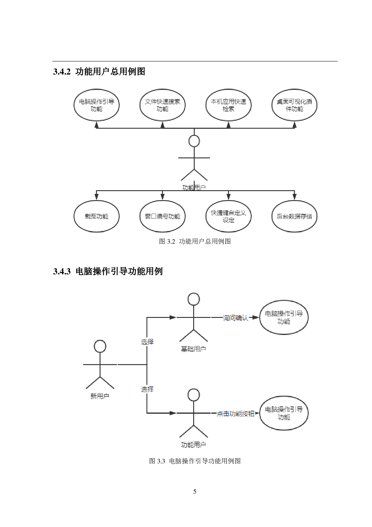
个人电脑助手的设计和实现-14375字.pdf 第4页
个人电脑助手的设计和实现-14375字.pdf 第5页
个人电脑助手的设计和实现-14375字.pdf 第6页
个人电脑助手的设计和实现-14375字.pdf 第7页
个人电脑助手的设计和实现-14375字.pdf 第8页
个人电脑助手的设计和实现-14375字.pdf 第9页
个人电脑助手的设计和实现-14375字.pdf 第10页
剩余45页未读, 下载浏览全部
个人电脑助手的设计与实现 摘 要 2022年的今天, 由于智能手机的普及,让大家对智能生活有了全新的了解。相较于 以往,现在很多人能熟练使用手机但是却没办法熟练使用电脑。在逐渐发展成熟的各行 各业中,电脑作为中坚生产力可以说是绝大部分 人必备的生产力工具。而在社会的各种 观念下,很多的人在上大学前可能没有使用过电脑,但是却一下子就需要他们熟练的掌 握电脑技能来处理工作。而在这个高速运行的时代,大部分人更倾向于边操作边学习而 非看视频翻阅资料学习,于是我设计了这款软件。 本软件的设计与实现最初的目的只是为了
个人电脑助手的设计和实现-14375字.pdf