文库 化学与材料工程 生物科学

母乳婴儿源植物乳杆菌抗逆环境能力的研究-10944字.docx

2022及前全 DOCX   20页   下载0   2026-01-05   浏览12   收藏0   点赞0   评分-   15478字   20.00
温馨提示:当前文档最多只能预览 10 页,若文档总页数超出了 10 页,请下载原文档以浏览全部内容。
母乳婴儿源植物乳杆菌抗逆环境能力的研究-10944字.docx 第1页
母乳婴儿源植物乳杆菌抗逆环境能力的研究-10944字.docx 第2页
母乳婴儿源植物乳杆菌抗逆环境能力的研究-10944字.docx 第3页
母乳婴儿源植物乳杆菌抗逆环境能力的研究-10944字.docx 第4页
母乳婴儿源植物乳杆菌抗逆环境能力的研究-10944字.docx 第5页
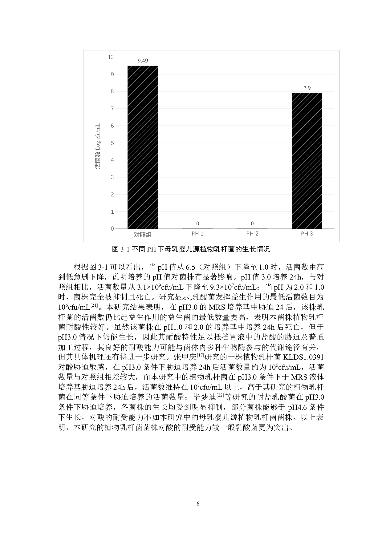
母乳婴儿源植物乳杆菌抗逆环境能力的研究-10944字.docx 第6页
母乳婴儿源植物乳杆菌抗逆环境能力的研究-10944字.docx 第7页
母乳婴儿源植物乳杆菌抗逆环境能力的研究-10944字.docx 第8页
母乳婴儿源植物乳杆菌抗逆环境能力的研究-10944字.docx 第9页
母乳婴儿源植物乳杆菌抗逆环境能力的研究-10944字.docx 第10页
剩余10页未读, 下载浏览全部
摘 要 乳酸菌作为益生菌的典型代表,具有 多种益 生功能 ,但其在生产、运输等过程中以及在人体发挥益 生功能 时会受到胃肠道中胃酸、胆盐等的胁迫,影响益 生功能 的发挥,因此筛选具有高抗逆性的菌株是目前研究的热点。本研究以 兼具免疫调节 、 高缓解氧化应激 和 高降胆固醇功能的母乳婴儿 源专利 菌株 : 植物乳杆菌为研究对象 ,通过活菌计数的方法,对其进行酸、温度、胆盐、渗透压、营养胁迫的抗逆性评价。 结果表明, 本株植物 乳杆菌能够耐受 pH3.0 的酸胁迫; 在 低温 4℃ 和 高温 45℃ 条件下 不但能存活且 活菌数高于发挥益生
母乳婴儿源植物乳杆菌抗逆环境能力的研究-10944字.docx