文库 计算机 软件系统设计

Boot校园台球厅管理系统的设计与实现-15611字.docx

2022及前全 DOCX   39页   下载0   2026-01-08   浏览2   收藏0   点赞0   评分-   22667字   20.00
温馨提示:当前文档最多只能预览 10 页,若文档总页数超出了 10 页,请下载原文档以浏览全部内容。
Boot校园台球厅管理系统的设计与实现-15611字.docx 第1页
Boot校园台球厅管理系统的设计与实现-15611字.docx 第2页
Boot校园台球厅管理系统的设计与实现-15611字.docx 第3页
Boot校园台球厅管理系统的设计与实现-15611字.docx 第4页
Boot校园台球厅管理系统的设计与实现-15611字.docx 第5页
Boot校园台球厅管理系统的设计与实现-15611字.docx 第6页
Boot校园台球厅管理系统的设计与实现-15611字.docx 第7页
Boot校园台球厅管理系统的设计与实现-15611字.docx 第8页
Boot校园台球厅管理系统的设计与实现-15611字.docx 第9页
Boot校园台球厅管理系统的设计与实现-15611字.docx 第10页
剩余29页未读, 下载浏览全部
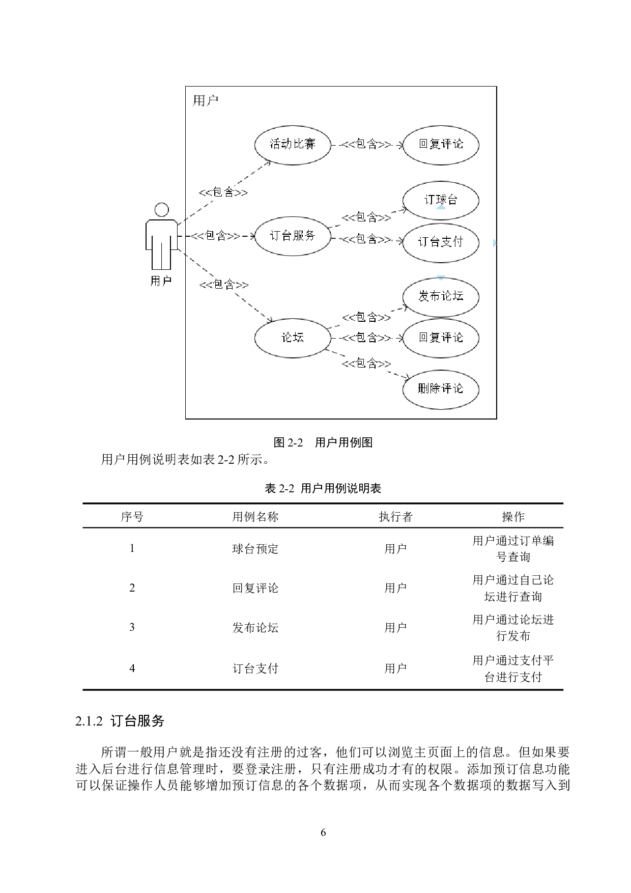
摘 要 人们要生活首先离不开各类信息系统,小到支付,大到管理,而现下大部分人因信息共享不够而选择传统的方式,但生活、生产、教育、管理所需要的计算机网络、软件、系统与日俱增,或信息得不到实时更新,各级市场管理低效,各个领域的实体情况与人们了解所说存在很大的差异等等。 此系统是基于 Spring Boot 开发的校园台球厅管理系统,功能主要包括订台服务、预定管理、论坛管理、活动比赛四个模块。订台服务主要用于用户订台的方便,管理者产生确认,预定管理主要是管理者进行订台信息的确认,论坛管理主要应用于用户与用户之间
Boot校园台球厅管理系统的设计与实现-15611字.docx