文库 农业 茶学

黔南布依族苗族自治州茶产业发展现状及对策研究.docx-12355字.docx

DOCX   20页   下载0   2025-10-27   浏览63   收藏0   点赞0   评分-   15275字   6积分
温馨提示:当前文档最多只能预览 10 页,若文档总页数超出了 10 页,请下载原文档以浏览全部内容。
黔南布依族苗族自治州茶产业发展现状及对策研究.docx-12355字.docx 第1页
黔南布依族苗族自治州茶产业发展现状及对策研究.docx-12355字.docx 第2页
黔南布依族苗族自治州茶产业发展现状及对策研究.docx-12355字.docx 第3页
黔南布依族苗族自治州茶产业发展现状及对策研究.docx-12355字.docx 第4页
黔南布依族苗族自治州茶产业发展现状及对策研究.docx-12355字.docx 第5页
黔南布依族苗族自治州茶产业发展现状及对策研究.docx-12355字.docx 第6页
黔南布依族苗族自治州茶产业发展现状及对策研究.docx-12355字.docx 第7页
黔南布依族苗族自治州茶产业发展现状及对策研究.docx-12355字.docx 第8页
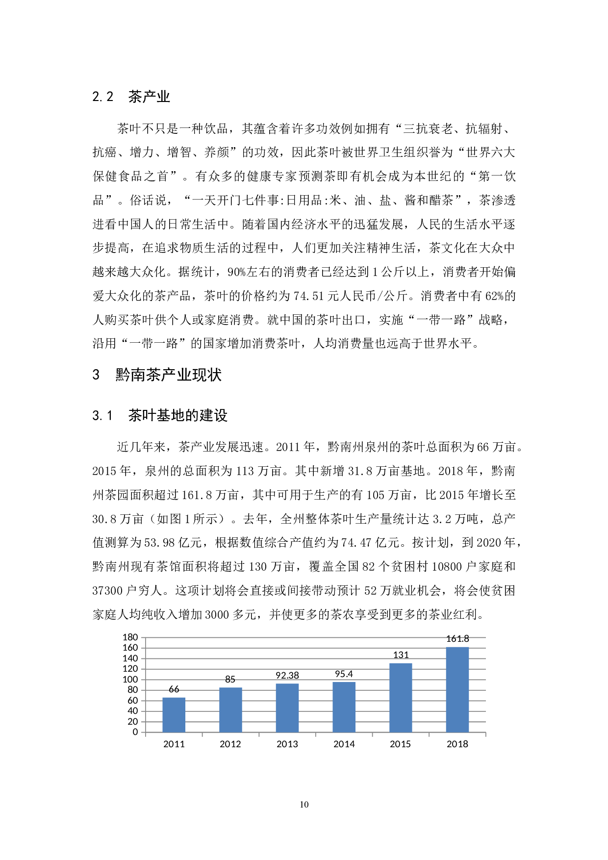
黔南布依族苗族自治州茶产业发展现状及对策研究.docx-12355字.docx 第9页
黔南布依族苗族自治州茶产业发展现状及对策研究.docx-12355字.docx 第10页
剩余10页未读, 下载浏览全部
目 录 摘要 3 关键词 3 Abstract 3 引言 4 1 绪论 5 1.1 研究背景 5 1.2 研究目的、意义 6 1.2.1 研究的目的 6 1.2.2 研究的意义 6 1.3 研究现状 7 1.3.1 国内研究现状 7 1.3.2 国外研究现状 7 1.4 研究内容 8 1.5 研究方法、技术路线 8 1.5.1 研究方法 8 1.5.2 技术路线 9 2 相关概念的界定 9 2.1 产业 9 2.2 茶产业 9 3 黔南茶产业现状 10 3.1 茶叶基地的建设 10 3.2 黔南州茶企业基本情况 11 4 黔南州茶产业 SWTO 分析 12 4.1 优势分析( S ) 12 4.1.1 优越的自然品质 12 4.1.2 低成本优势 12 4.1.3 品牌及历
黔南布依族苗族自治州茶产业发展现状及对策研究.docx-12355字.docx