文库 化学与材料工程 材料工程

形变热处理对Cu-0.3Sn合金微观组织与性能影响-18178字.pdf

2022及前全 PDF   38页   下载0   2026-01-15   浏览2   收藏0   点赞0   评分-   26455字   20.00
温馨提示:当前文档最多只能预览 10 页,若文档总页数超出了 10 页,请下载原文档以浏览全部内容。
形变热处理对Cu-0.3Sn合金微观组织与性能影响-18178字.pdf 第1页
形变热处理对Cu-0.3Sn合金微观组织与性能影响-18178字.pdf 第2页
形变热处理对Cu-0.3Sn合金微观组织与性能影响-18178字.pdf 第3页
形变热处理对Cu-0.3Sn合金微观组织与性能影响-18178字.pdf 第4页
形变热处理对Cu-0.3Sn合金微观组织与性能影响-18178字.pdf 第5页
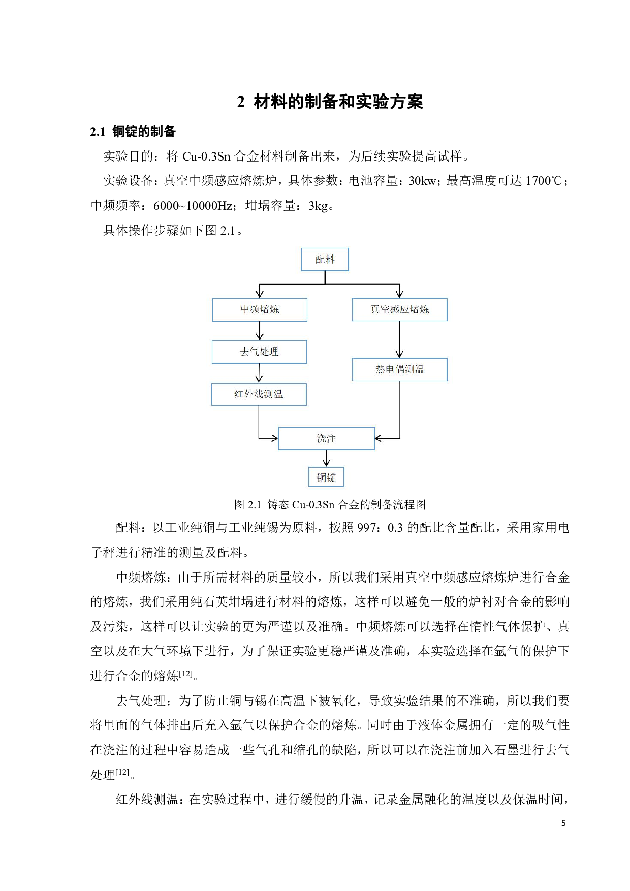
形变热处理对Cu-0.3Sn合金微观组织与性能影响-18178字.pdf 第6页
形变热处理对Cu-0.3Sn合金微观组织与性能影响-18178字.pdf 第7页
形变热处理对Cu-0.3Sn合金微观组织与性能影响-18178字.pdf 第8页
形变热处理对Cu-0.3Sn合金微观组织与性能影响-18178字.pdf 第9页
形变热处理对Cu-0.3Sn合金微观组织与性能影响-18178字.pdf 第10页
剩余28页未读, 下载浏览全部
本科毕业设计(论文) 形变热处理对Cu-0.3Sn合金微观组织 与性能影响 学 院 材料与能源学院 专 业 材料成型及控制工程 年级班别 2018级(4)班 学 号 3118005893 学生姓名 练嘉林 指导老师 董勇胡垚 2022年6月 目录 1绪论........................................................................................................................................1 1.1研究背景.........................................................................................................................1 1.2蚁巢腐蚀的研究现状.
形变热处理对Cu-0.3Sn合金微观组织与性能影响-18178字.pdf