文库 管理学 金融管理

互联网金融对商业银行财务风险影响的分析-15998字.docx

2022及前全 DOCX   25页   下载0   2026-01-09   浏览11   收藏0   点赞0   评分-   20071字   20.00
温馨提示:当前文档最多只能预览 10 页,若文档总页数超出了 10 页,请下载原文档以浏览全部内容。
互联网金融对商业银行财务风险影响的分析-15998字.docx 第1页
互联网金融对商业银行财务风险影响的分析-15998字.docx 第2页
互联网金融对商业银行财务风险影响的分析-15998字.docx 第3页
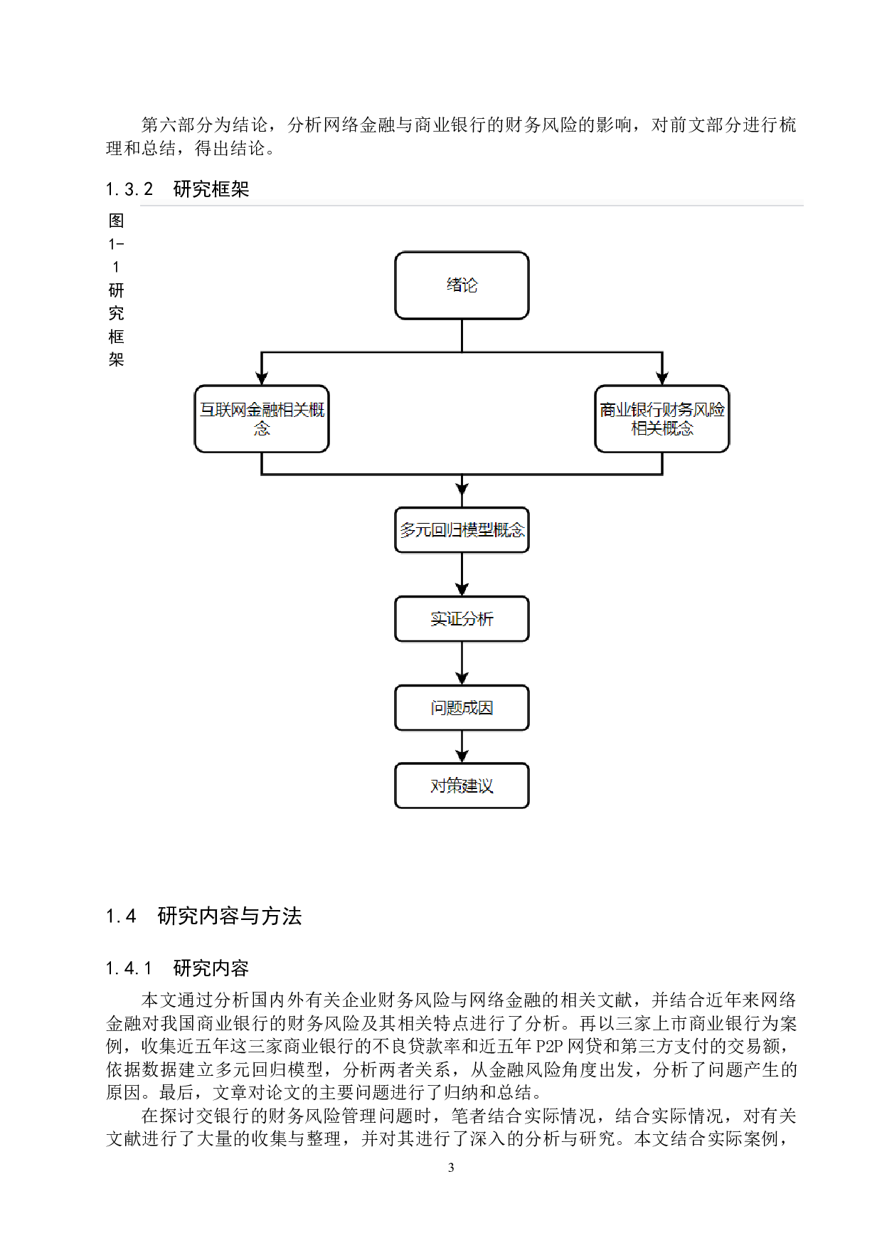
互联网金融对商业银行财务风险影响的分析-15998字.docx 第4页
互联网金融对商业银行财务风险影响的分析-15998字.docx 第5页
互联网金融对商业银行财务风险影响的分析-15998字.docx 第6页
互联网金融对商业银行财务风险影响的分析-15998字.docx 第7页
互联网金融对商业银行财务风险影响的分析-15998字.docx 第8页
互联网金融对商业银行财务风险影响的分析-15998字.docx 第9页
互联网金融对商业银行财务风险影响的分析-15998字.docx 第10页
剩余15页未读, 下载浏览全部
摘 要 商业银行是不断发展并且不断变革以此来适应现代化的社会 ,近些年由于互联网的快速发展催生了互联网金融行业,包括 P 2P 网贷第三方支付 等全新的网络借贷付款渠道。商业银行在享受互联网金融带来的在启发和机遇的同时,也不可避免的迎来了全新的挑战与财务问题。在互联网金融新兴的技术上面例如支付宝、微信等一系列网络付款借贷的金融平台快速发展并迅速占据市场,互联网金融对传统商业银行的经营造成巨大的竞争压力和利润冲击,特别是对银行业的负债市场占比和资本流动性、盈利性指标这些方面产生的影响 更为巨大 ,商业银
互联网金融对商业银行财务风险影响的分析-15998字.docx