文库 化学与材料工程 化学

Fenton氧化法处理难降解有机废水的研究-7912字.docx

2022及前全 DOCX   17页   下载0   2026-01-04   浏览11   收藏0   点赞0   评分-   10810字   20.00
温馨提示:当前文档最多只能预览 10 页,若文档总页数超出了 10 页,请下载原文档以浏览全部内容。
Fenton氧化法处理难降解有机废水的研究-7912字.docx 第1页
Fenton氧化法处理难降解有机废水的研究-7912字.docx 第2页
Fenton氧化法处理难降解有机废水的研究-7912字.docx 第3页
Fenton氧化法处理难降解有机废水的研究-7912字.docx 第4页
Fenton氧化法处理难降解有机废水的研究-7912字.docx 第5页
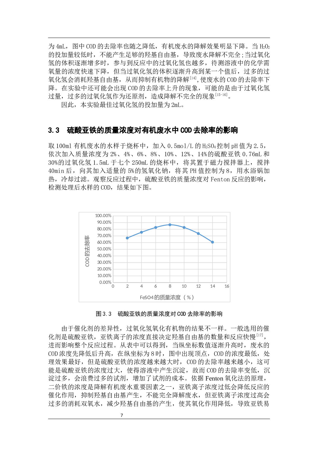
Fenton氧化法处理难降解有机废水的研究-7912字.docx 第6页
Fenton氧化法处理难降解有机废水的研究-7912字.docx 第7页
Fenton氧化法处理难降解有机废水的研究-7912字.docx 第8页
Fenton氧化法处理难降解有机废水的研究-7912字.docx 第9页
Fenton氧化法处理难降解有机废水的研究-7912字.docx 第10页
剩余7页未读, 下载浏览全部
摘    要    Fenton 氧化法是降解有机废水的有效方法, Fenton 氧化法具备反应原理浅显易懂,强氧化性,实验过程不复杂便于掌握,反应试剂的价格较低,反应速度快等特点。本文先简单介绍了 Fenton 氧化法的机理,芬顿氧化法的优缺点,芬顿氧化法的应用前景和尚需改进的问题,类 Fenton 法的分类,各种类 Fenton 的优缺点及类 Fenton 法的研究方向。本实验选用芬顿氧化法来降解有机废水,通过单一因素变量法探讨了处理难降解有机废水的pH,H 2 O 2 的投加量,FeSO 4 的质量浓度,反应时间,过氧化氢和硫酸亚铁的摩尔比对有机废水中COD
Fenton氧化法处理难降解有机废水的研究-7912字.docx