文库 全国硕士研究生统一招生考试 数学

2008年数学二解析.pdf

PDF   10页   下载0   2025-11-04   浏览5   收藏0   点赞0   评分-   9064字   6积分
2008年数学二解析.pdf 第1页
2008年数学二解析.pdf 第2页
2008年数学二解析.pdf 第3页
2008年数学二解析.pdf 第4页
2008年数学二解析.pdf 第5页
2008年数学二解析.pdf 第6页
2008年数学二解析.pdf 第7页
2008年数学二解析.pdf 第8页
2008年数学二解析.pdf 第9页
2008年数学二解析.pdf 第10页
2008年全国硕士研究生入学统一考试数学 二试题解析 一、选择题 (1)【答案】D 【详解】因为 (0) (1) (2) 0f ff= = = ,由罗尔定理知至少有 1 (0,1)ξ∈ , 2 (1, 2)ξ∈ 使 12 () () 0ffξξ′′= = ,所以 ()fx′至少有两个零点 . 由于 ()fx′是三次多项式,三次方程 () 0fx′=的实根不是三个就是一个,故 D正确. (2)【答案】C 【详解】 0 00 0 0 () () () () () () aa a a a xf x dx xdf x xf x f x dx af a f x dx′ ==−=−∫∫ ∫ ∫ 其中 ()af a是矩形ABOC面积, 0 () a f x dx∫ 为曲边梯形 ABOD的面积,所以 0 () a xf x dx′ ∫ 为 曲边三角
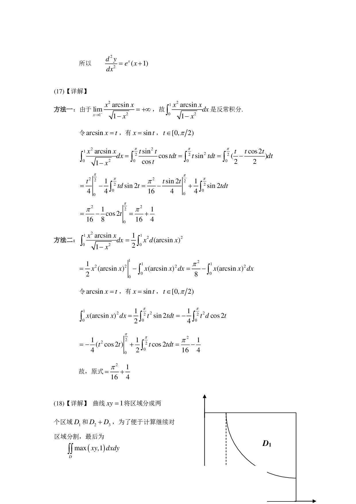
2008年数学二解析.pdf