文库 数字媒体与文化传播 新闻

新冠肺炎疫情下防疫志愿者媒介形象研究——以疫情期间《人民日报》的相关报道为例-10077字.docx

2022及前全 DOCX   18页   下载0   2026-01-15   浏览3   收藏0   点赞0   评分-   11658字   20.00
温馨提示:当前文档最多只能预览 10 页,若文档总页数超出了 10 页,请下载原文档以浏览全部内容。
新冠肺炎疫情下防疫志愿者媒介形象研究——以疫情期间《人民日报》的相关报道为例-10077字.docx 第1页
新冠肺炎疫情下防疫志愿者媒介形象研究——以疫情期间《人民日报》的相关报道为例-10077字.docx 第2页
新冠肺炎疫情下防疫志愿者媒介形象研究——以疫情期间《人民日报》的相关报道为例-10077字.docx 第3页
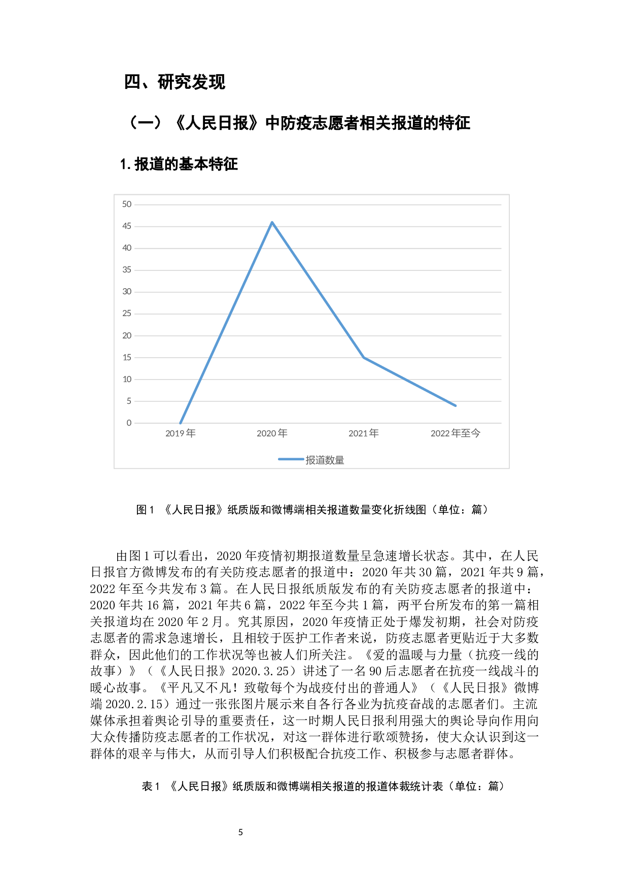
新冠肺炎疫情下防疫志愿者媒介形象研究——以疫情期间《人民日报》的相关报道为例-10077字.docx 第4页
新冠肺炎疫情下防疫志愿者媒介形象研究——以疫情期间《人民日报》的相关报道为例-10077字.docx 第5页
新冠肺炎疫情下防疫志愿者媒介形象研究——以疫情期间《人民日报》的相关报道为例-10077字.docx 第6页
新冠肺炎疫情下防疫志愿者媒介形象研究——以疫情期间《人民日报》的相关报道为例-10077字.docx 第7页
新冠肺炎疫情下防疫志愿者媒介形象研究——以疫情期间《人民日报》的相关报道为例-10077字.docx 第8页
新冠肺炎疫情下防疫志愿者媒介形象研究——以疫情期间《人民日报》的相关报道为例-10077字.docx 第9页
新冠肺炎疫情下防疫志愿者媒介形象研究——以疫情期间《人民日报》的相关报道为例-10077字.docx 第10页
剩余8页未读, 下载浏览全部
目 录 摘 要 ……………………………………………………………………………… 1 Abstract ………………………………………………………………………… 1 一、引言 2 (一)研究缘起 2 (二)研究概要 2 (三)研究意义 3 1.理论意义 3 2.实践意义 3 二、文献综述与研究问题 3 (一)关于媒介形象的研究综述 3 (二)关于防疫志愿者形象的研究综述 3 三、研究设计 4 (一)研究对象 4 (二)方法实施 4 1.内容分析法 4 2.问卷调查法 4 四、研究发现 5 (一)《人民日报》中防疫志愿者相关报道的特征 5 1.报道的基本特征 5 2.报道的内容特征 6 (二)《人民日报》中的防疫志愿者形象总结 7 1.逆行出
新冠肺炎疫情下防疫志愿者媒介形象研究——以疫情期间《人民日报》的相关报道为例-10077字.docx