文库 全国硕士研究生统一招生考试 数学

考研数学-分块区域上的二重积分例题+解析.pdf

PDF   8页   下载0   2025-10-22   浏览26   收藏0   点赞0   评分-   2045字   6积分
考研数学-分块区域上的二重积分例题+解析.pdf 第1页
考研数学-分块区域上的二重积分例题+解析.pdf 第2页
考研数学-分块区域上的二重积分例题+解析.pdf 第3页
考研数学-分块区域上的二重积分例题+解析.pdf 第4页
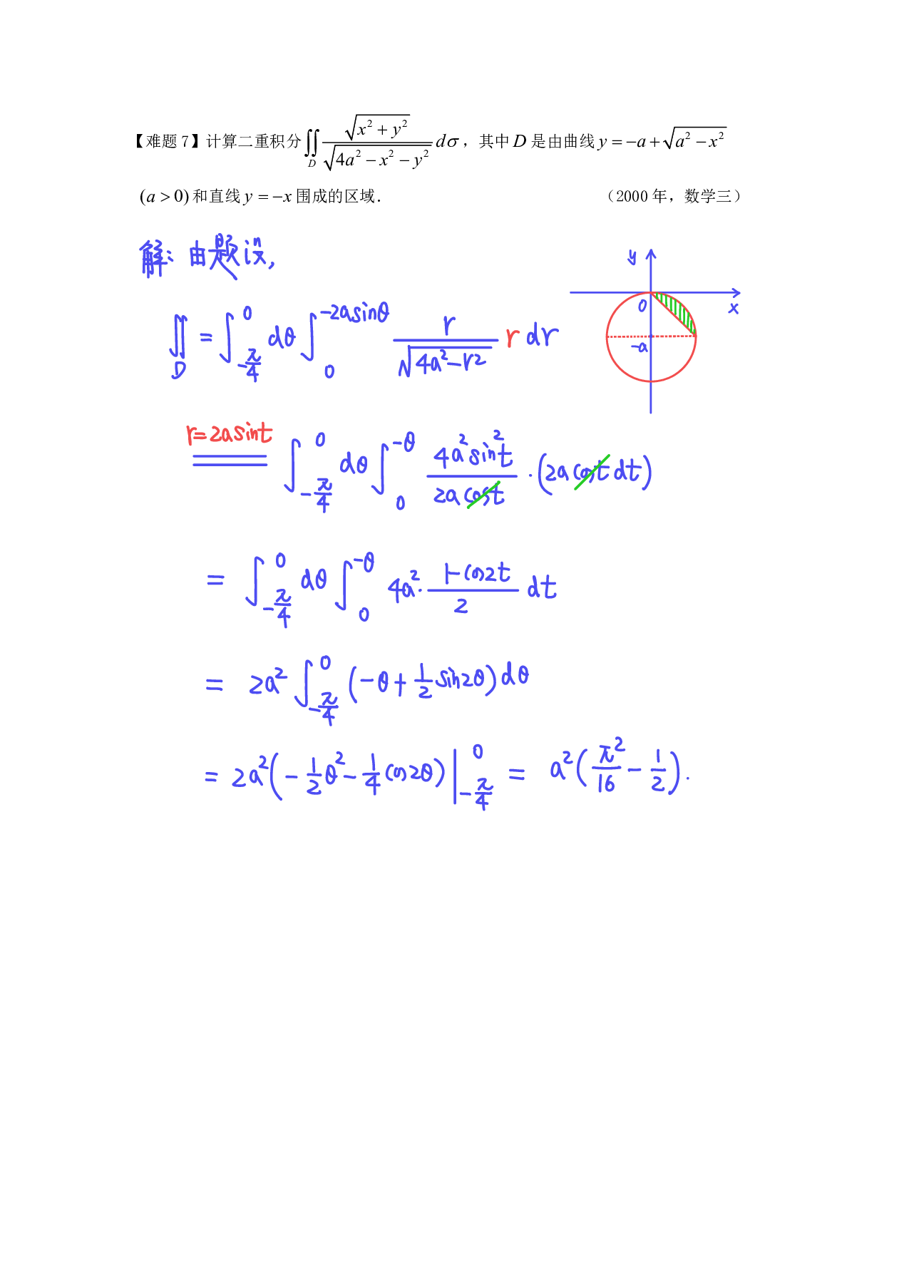
考研数学-分块区域上的二重积分例题+解析.pdf 第5页
考研数学-分块区域上的二重积分例题+解析.pdf 第6页
考研数学-分块区域上的二重积分例题+解析.pdf 第7页
考研数学-分块区域上的二重积分例题+解析.pdf 第8页
第五章 二重积分 第04节 分块区域上的 二重积分 @金榜时代 硕哥 【作业1】计算二重积分 22 1 D xy d  ,其中   22 () 1 0 0Dxyxy x y,,, . 解 由 题 没 1灲21do 奷㸯 Ēdoftryrdr o i Eitifi 【作业2】设二元函数 2 22 1 1() 12 xxy fxy xy xy         ,, , ,, 计算二重积分 () D fxyd , ,其中  () 2Dxyxy, . (2007年,数学二 、数学三、数学四) y 解 由 题 设积分区域对称得 灲 2 声呵 ⼆千 411 172 4fdxfidytfdofirdr­cnotsho­ 4fiG
考研数学-分块区域上的二重积分例题+解析.pdf