文库 化学与材料工程 化学

化学沉淀法处理水中磷酸盐的研究-8342字.docx

2022及前全 DOCX   15页   下载0   2026-01-04   浏览19   收藏0   点赞0   评分-   12358字   20.00
温馨提示:当前文档最多只能预览 10 页,若文档总页数超出了 10 页,请下载原文档以浏览全部内容。
化学沉淀法处理水中磷酸盐的研究-8342字.docx 第1页
化学沉淀法处理水中磷酸盐的研究-8342字.docx 第2页
化学沉淀法处理水中磷酸盐的研究-8342字.docx 第3页
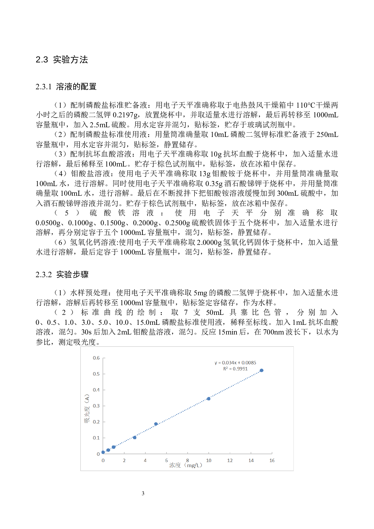
化学沉淀法处理水中磷酸盐的研究-8342字.docx 第4页
化学沉淀法处理水中磷酸盐的研究-8342字.docx 第5页
化学沉淀法处理水中磷酸盐的研究-8342字.docx 第6页
化学沉淀法处理水中磷酸盐的研究-8342字.docx 第7页
化学沉淀法处理水中磷酸盐的研究-8342字.docx 第8页
化学沉淀法处理水中磷酸盐的研究-8342字.docx 第9页
化学沉淀法处理水中磷酸盐的研究-8342字.docx 第10页
剩余5页未读, 下载浏览全部
摘 要 面对水体富营养化的局面,化学法除磷 显得极其 必要 。 本实验采取的是化学沉淀法除磷,它 是指将易溶于水的某些金属盐投入水中,金属离子与磷反应生成难溶盐,从而达到去除磷的效果 。 本实验选用了硫酸铁和氢氧化钙作为沉淀剂,并通过改变单一变量的方法,探究不同沉淀剂加入量、反应温度以及体系p H 值对水中磷酸盐去除效果的影响。本实验旨在通过化学沉淀法探究不同沉淀剂对磷酸盐去除量的多少而选择较好的沉淀剂,同时探究温度、pH 值 、投料比对除磷效果的影响,以此确定化学法处理磷酸盐的最适条件,且进一步为水污染中的
化学沉淀法处理水中磷酸盐的研究-8342字.docx