文库 计算机 电子信息工程

基于单片机的多用定时器的设计-4625字.pdf

2022及前全 PDF   21页   下载0   2026-01-15   浏览4   收藏0   点赞0   评分-   8568字   20.00
温馨提示:当前文档最多只能预览 10 页,若文档总页数超出了 10 页,请下载原文档以浏览全部内容。
基于单片机的多用定时器的设计-4625字.pdf 第1页
基于单片机的多用定时器的设计-4625字.pdf 第2页
基于单片机的多用定时器的设计-4625字.pdf 第3页
基于单片机的多用定时器的设计-4625字.pdf 第4页
基于单片机的多用定时器的设计-4625字.pdf 第5页
基于单片机的多用定时器的设计-4625字.pdf 第6页
基于单片机的多用定时器的设计-4625字.pdf 第7页
基于单片机的多用定时器的设计-4625字.pdf 第8页
基于单片机的多用定时器的设计-4625字.pdf 第9页
基于单片机的多用定时器的设计-4625字.pdf 第10页
剩余11页未读, 下载浏览全部
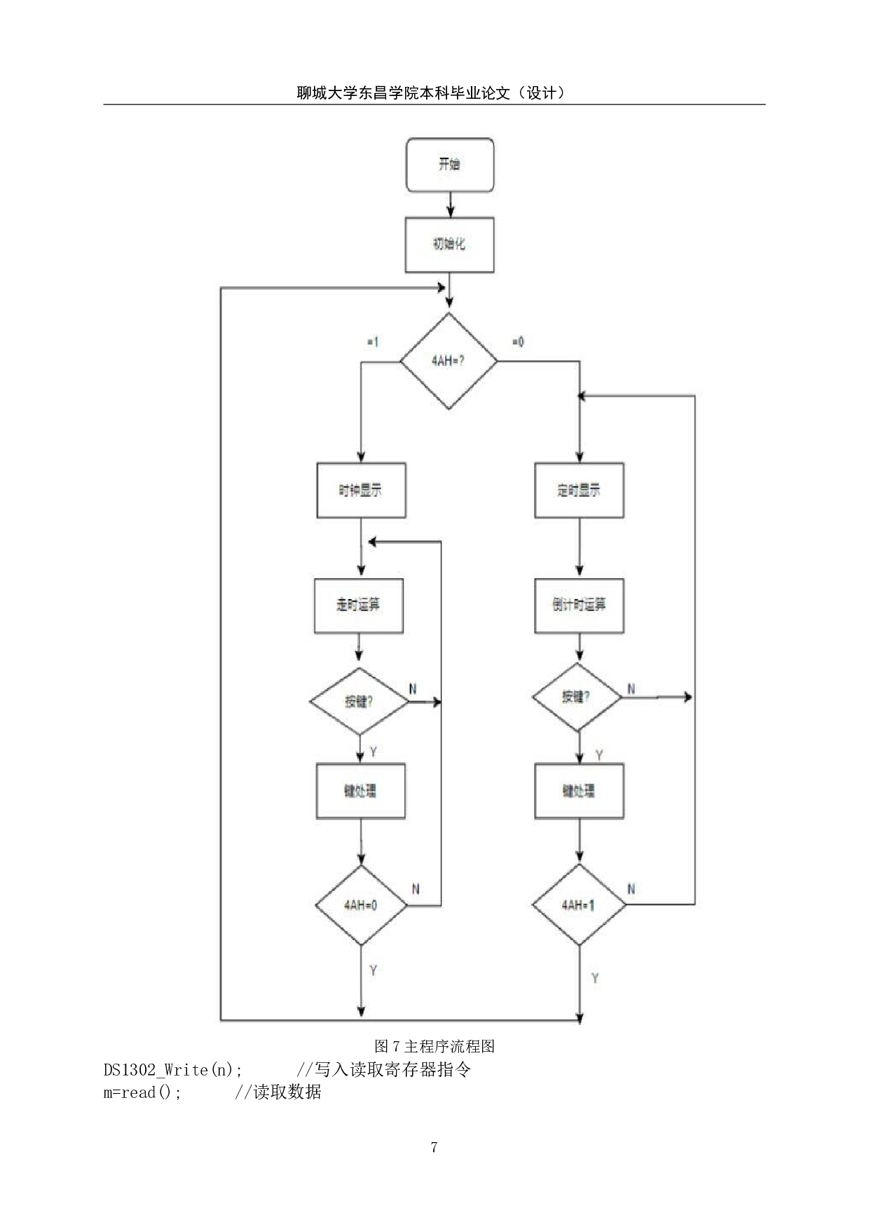
目录 前言..........................................................................................................1 1.定时器系统设计概述.............................................................................1 2.系统硬件电路设计.................................................................................2 2.1主控电路设计..................................................................................................2 2.2开关继电路设计...................................................
基于单片机的多用定时器的设计-4625字.pdf