文库 全国硕士研究生统一招生考试 数学

25考研数学重难点解析.pdf

PDF   34页   下载0   2025-10-22   浏览71   收藏0   点赞0   评分-   8610字   6积分
温馨提示:当前文档最多只能预览 10 页,若文档总页数超出了 10 页,请下载原文档以浏览全部内容。
25考研数学重难点解析.pdf 第1页
25考研数学重难点解析.pdf 第2页
25考研数学重难点解析.pdf 第3页
25考研数学重难点解析.pdf 第4页
25考研数学重难点解析.pdf 第5页
25考研数学重难点解析.pdf 第6页
25考研数学重难点解析.pdf 第7页
25考研数学重难点解析.pdf 第8页
25考研数学重难点解析.pdf 第9页
25考研数学重难点解析.pdf 第10页
剩余24页未读, 下载浏览全部
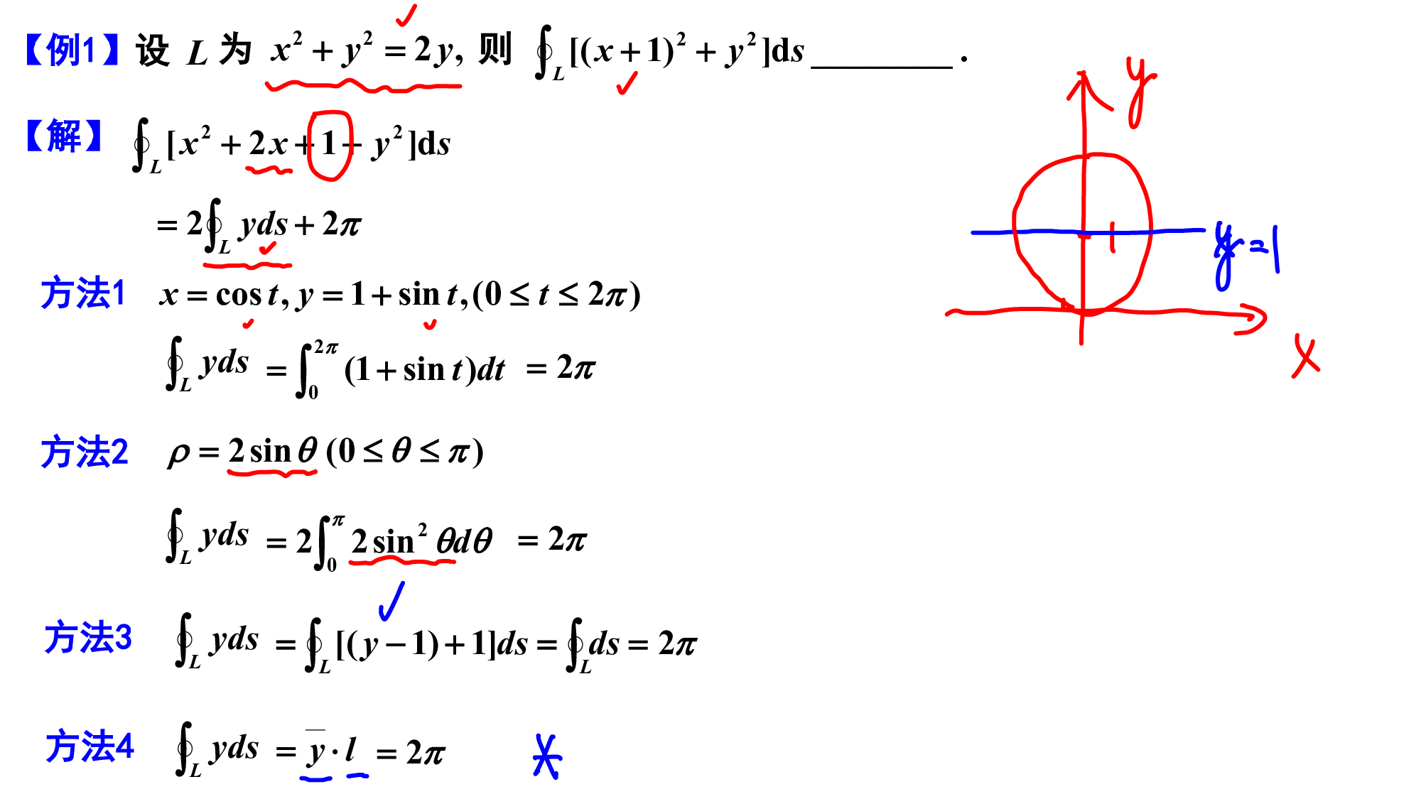
     )( )( : tyy txx C t ttytxtytxfsyxf C d)()())(),((d),( 22     ),(: xyyC bxa xxyxyxfsyxf b aC d)(1))(,(d),( 2   (一) 对弧长的线积分(第一类线积分) 则 2) 若 则 1. 直接法: 3 计算方法(平面) 1) 若 1 定义 ii n i i L sfdsyxf    ),(lim),( 1 0   2 性质    )()( ),(),( BALABL dsyxfdsyxf (与路径方向无关) )(: C    C dsyxf ),( 3) 若 则    df  )()()sin)(,cos)(( 22 1. 心形线 2. 星形线 3. 摆线 4. 双纽线 )cos1( a 3 2 3 2 3 2 ayx
25考研数学重难点解析.pdf