文库 化学与材料工程 化学

活性炭吸附金橙Ⅱ的实验探究-8494字.docx

2022及前全 DOCX   16页   下载0   2026-01-04   浏览18   收藏0   点赞0   评分-   12938字   20.00
温馨提示:当前文档最多只能预览 10 页,若文档总页数超出了 10 页,请下载原文档以浏览全部内容。
活性炭吸附金橙Ⅱ的实验探究-8494字.docx 第1页
活性炭吸附金橙Ⅱ的实验探究-8494字.docx 第2页
活性炭吸附金橙Ⅱ的实验探究-8494字.docx 第3页
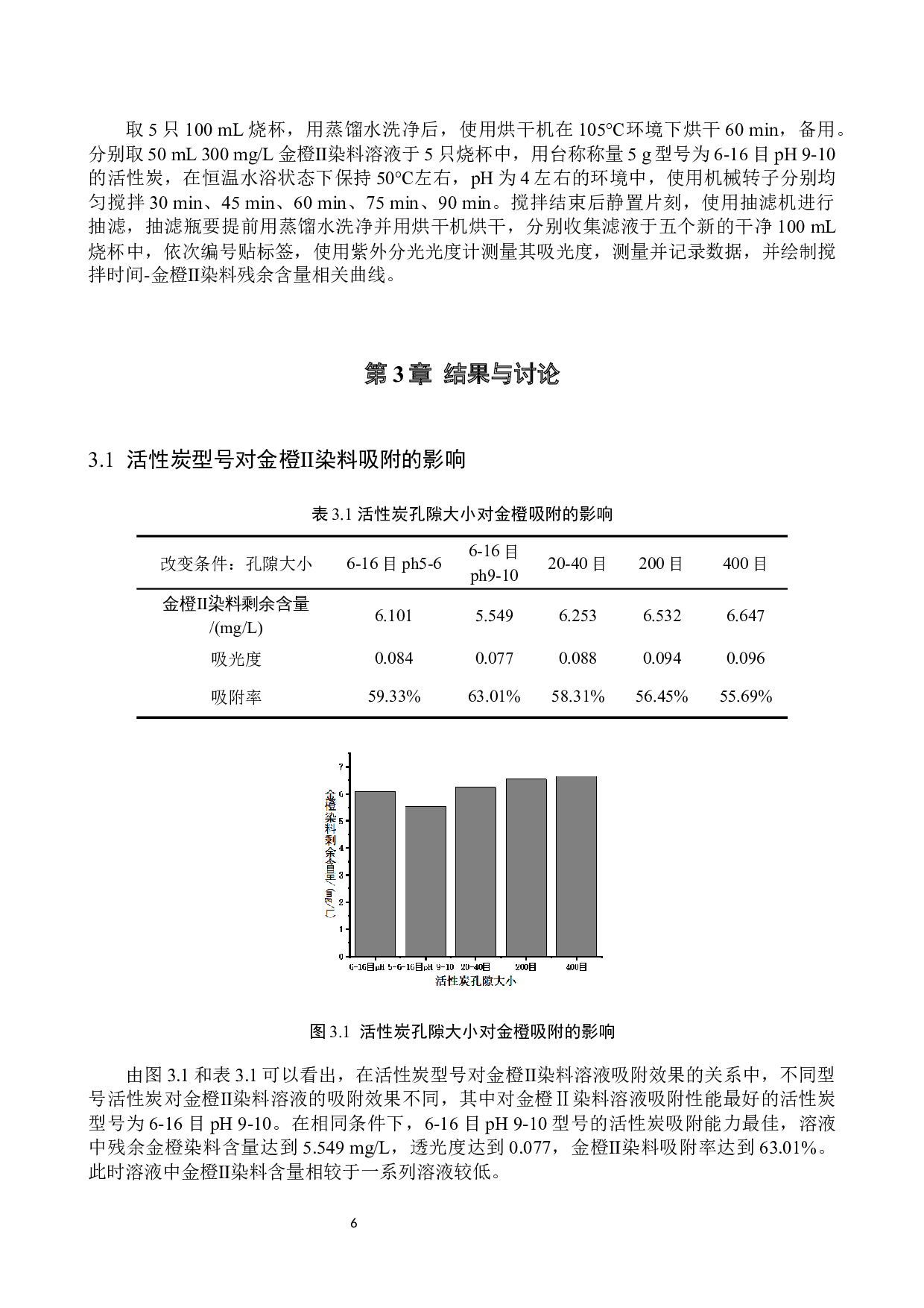
活性炭吸附金橙Ⅱ的实验探究-8494字.docx 第4页
活性炭吸附金橙Ⅱ的实验探究-8494字.docx 第5页
活性炭吸附金橙Ⅱ的实验探究-8494字.docx 第6页
活性炭吸附金橙Ⅱ的实验探究-8494字.docx 第7页
活性炭吸附金橙Ⅱ的实验探究-8494字.docx 第8页
活性炭吸附金橙Ⅱ的实验探究-8494字.docx 第9页
活性炭吸附金橙Ⅱ的实验探究-8494字.docx 第10页
剩余6页未读, 下载浏览全部
摘 要 采用活性炭颗粒作为吸附剂处理含有染料废水中的金橙 Ⅱ 染料,本实验使用了物理处理法中的吸附的原理。活性炭的型号、活性炭的投放量、溶液的pH、搅拌时的溶液温度以及反应的搅拌时间五个方面都会对金橙 Ⅱ 染料的去除效果产生明显的影响,同时在本文后半部分会使用langmuir公式和Freundlich公式进行验证,得出结果显示Freundlich公式对此实验论证效果更佳,因此在处理金橙 Ⅱ 染料时应综合各个方面分析吸附结果问题。本文中采用紫外分光光度法测定金橙 Ⅱ 含量,同时设计五组比较实验来对金橙 Ⅱ 的去除效果进行探究与讨论,从而找到去
活性炭吸附金橙Ⅱ的实验探究-8494字.docx