文库 经济学 金融学

基于Carhart四因子模型对基金风格漂移的研究——以N新能源基金为例-19517字.docx

2022及前全 DOCX   32页   下载0   2026-01-13   浏览3   收藏0   点赞0   评分-   26057字   20.00
温馨提示:当前文档最多只能预览 10 页,若文档总页数超出了 10 页,请下载原文档以浏览全部内容。
基于Carhart四因子模型对基金风格漂移的研究——以N新能源基金为例-19517字.docx 第1页
基于Carhart四因子模型对基金风格漂移的研究——以N新能源基金为例-19517字.docx 第2页
基于Carhart四因子模型对基金风格漂移的研究——以N新能源基金为例-19517字.docx 第3页
基于Carhart四因子模型对基金风格漂移的研究——以N新能源基金为例-19517字.docx 第4页
基于Carhart四因子模型对基金风格漂移的研究——以N新能源基金为例-19517字.docx 第5页
基于Carhart四因子模型对基金风格漂移的研究——以N新能源基金为例-19517字.docx 第6页
基于Carhart四因子模型对基金风格漂移的研究——以N新能源基金为例-19517字.docx 第7页
基于Carhart四因子模型对基金风格漂移的研究——以N新能源基金为例-19517字.docx 第8页
基于Carhart四因子模型对基金风格漂移的研究——以N新能源基金为例-19517字.docx 第9页
基于Carhart四因子模型对基金风格漂移的研究——以N新能源基金为例-19517字.docx 第10页
剩余22页未读, 下载浏览全部
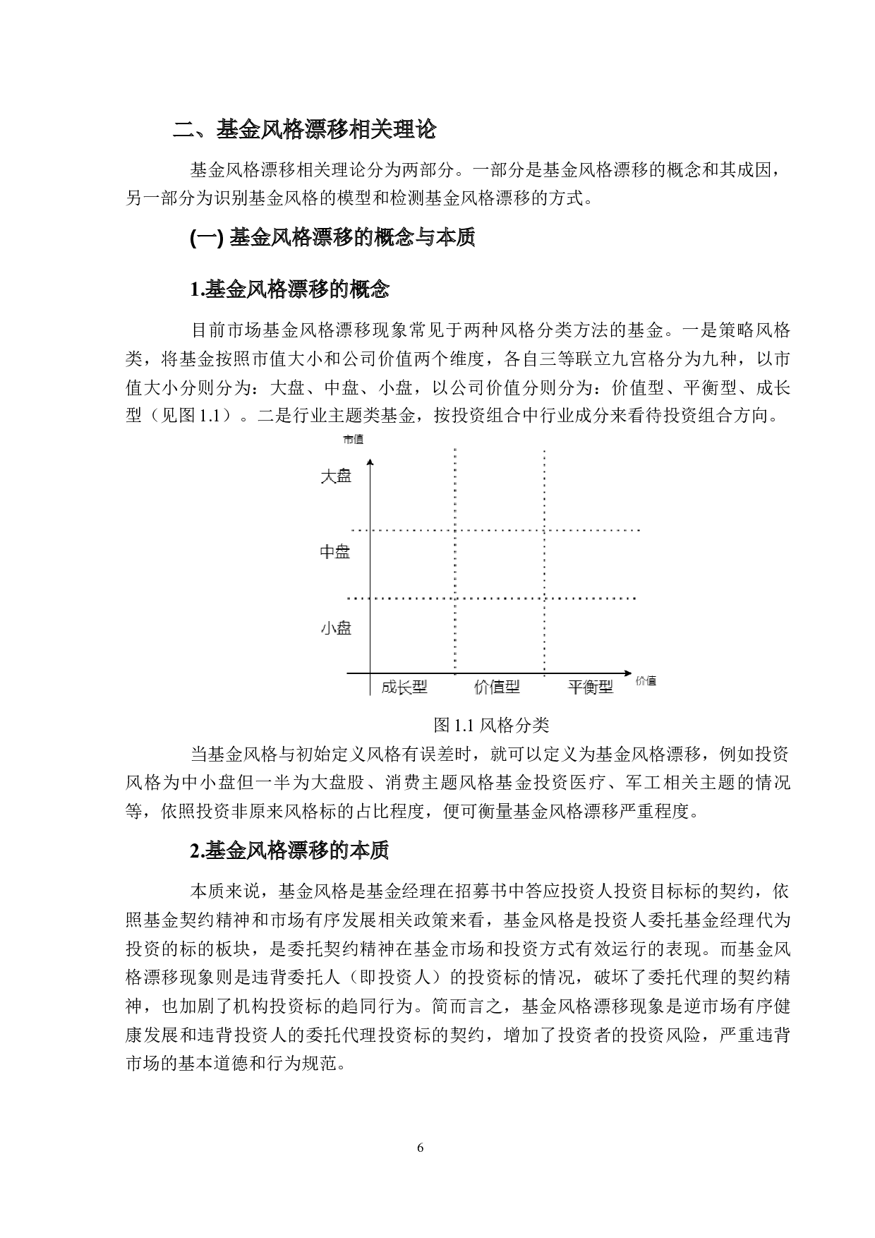
基于Carhart四因子模型对基金风格漂移的研究 ——以N新能源基金为例 摘 要 近年来理财成为一种新的趋势,投资者逐年增多,资金也愈来愈多的流入金融市场,简易投资的基金成为了主流理财投资工具,基民与新发基金呈现逐年递增趋势。这体现出我国金融市场拥有巨大潜力,随着 基金市场竞争不断加剧,衍生的基金风格漂移问题近年来也开始引起关注 。 基于近年来的研究机构抱团现象中就映射出有害金融市场有序良性发展的基金风格漂移现象,为维护市场良性循环发展和破解“基金赚钱基民亏损”怪相,2021年多家机构呼吁遏制基金风格漂移现象,维护金
基于Carhart四因子模型对基金风格漂移的研究——以N新能源基金为例-19517字.docx