文库 化学与材料工程 生物科学

家蚕YTHDC1基因的克隆和原核表达-6300字.pdf

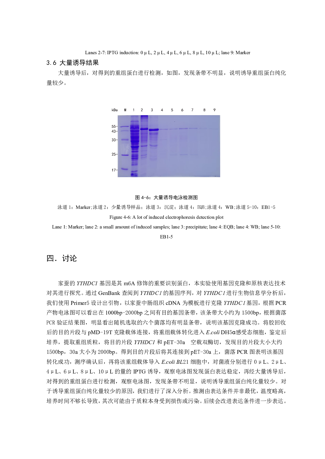
2023全 PDF   12页   下载0   2026-01-30   浏览3   收藏0   点赞0   评分-   14406字   40.00
温馨提示:当前文档最多只能预览 10 页,若文档总页数超出了 10 页,请下载原文档以浏览全部内容。
家蚕YTHDC1基因的克隆和原核表达-6300字.pdf 第1页
家蚕YTHDC1基因的克隆和原核表达-6300字.pdf 第2页
家蚕YTHDC1基因的克隆和原核表达-6300字.pdf 第3页
家蚕YTHDC1基因的克隆和原核表达-6300字.pdf 第4页
家蚕YTHDC1基因的克隆和原核表达-6300字.pdf 第5页
家蚕YTHDC1基因的克隆和原核表达-6300字.pdf 第6页
家蚕YTHDC1基因的克隆和原核表达-6300字.pdf 第7页
家蚕YTHDC1基因的克隆和原核表达-6300字.pdf 第8页
家蚕YTHDC1基因的克隆和原核表达-6300字.pdf 第9页
家蚕YTHDC1基因的克隆和原核表达-6300字.pdf 第10页
剩余2页未读, 下载浏览全部
目录 一.前言....................................................................................................................................................3 1.1YTH基因的生物学功能..............................................................................................................3 1.2YTHDC1基因的研究进展............................................................................................................3 1.3基因克隆技术的发展.................................................
家蚕YTHDC1基因的克隆和原核表达-6300字.pdf