文库 管理学 财务管理

黑龙江省笨谷食品有限公司盈利能力分析-11463字.docx

2022及前全 DOCX   23页   下载0   2026-01-15   浏览0   收藏0   点赞0   评分-   13477字   20.00
温馨提示:当前文档最多只能预览 10 页,若文档总页数超出了 10 页,请下载原文档以浏览全部内容。
黑龙江省笨谷食品有限公司盈利能力分析-11463字.docx 第1页
黑龙江省笨谷食品有限公司盈利能力分析-11463字.docx 第2页
黑龙江省笨谷食品有限公司盈利能力分析-11463字.docx 第3页
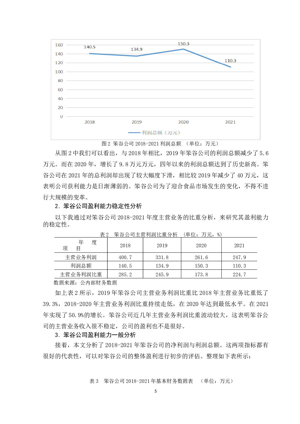
黑龙江省笨谷食品有限公司盈利能力分析-11463字.docx 第4页
黑龙江省笨谷食品有限公司盈利能力分析-11463字.docx 第5页
黑龙江省笨谷食品有限公司盈利能力分析-11463字.docx 第6页
黑龙江省笨谷食品有限公司盈利能力分析-11463字.docx 第7页
黑龙江省笨谷食品有限公司盈利能力分析-11463字.docx 第8页
黑龙江省笨谷食品有限公司盈利能力分析-11463字.docx 第9页
黑龙江省笨谷食品有限公司盈利能力分析-11463字.docx 第10页
剩余13页未读, 下载浏览全部
目 录 摘 要 Ⅰ Abstract Ⅱ 一、盈利能力分析概述 1 (一)盈利能力的概念 1 (二)盈利能力分析的方法 1 二、 黑龙江省笨谷食品有限公司 盈利能力现状分析 3 (一)笨谷食品有限公司经营状况 3 (二)行业整体市场概况 4 (三)黑龙江省笨谷食品有限公司盈利能力现状分析 4 三、黑龙江省笨谷食品有限公司盈利能力存在的问题 10 (一)产品竞争力不足 10 (二)应收账款回收速度缓慢 10 (三)财务费用支出不合理 11 (四)广告费用投入不足导致销售收入下降 11 四、提升黑龙江省笨谷食品有限公司盈利能力的建议 11 (一)发展绿色健
黑龙江省笨谷食品有限公司盈利能力分析-11463字.docx