添加到电脑桌面
添加到电脑桌面,以后点击桌面图标一键打开,无需搜索,非常快捷!
立即添加
资源篮
0
普通会员
限时优惠
登录
文档分类
计算机
金融/投资/证券
医药卫生
汽车/机械
外语学习
法律/法规/法学
研究生考试
电子工程
经济/贸易/财会
建筑/施工
幼儿/小学教育
文学/历史
教师资格考试
学术论文
上传下载
我要上传
上传规定
关于下载
下载须知
上传说明
投稿帮助
关于积分
关于提现
新手攻略
文档认领
特殊渠道特权
VIP收益说明
协议条款
用户协议
隐私政策
商户服务协议
上传积分文档协议
会员服务协议
文库
管理学
财务管理
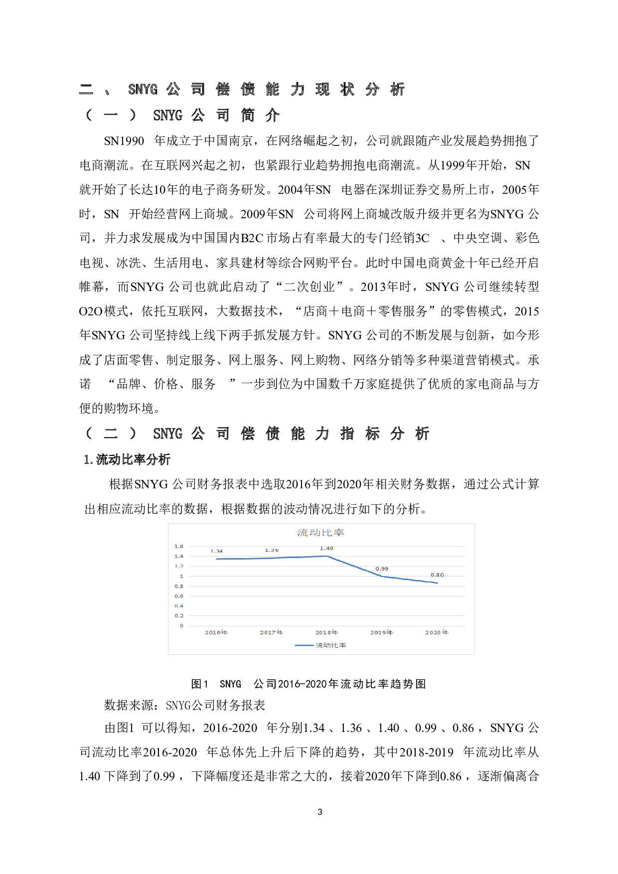
SNYG公司偿债能力分析-10214字.doc
2022及前全
DOC
21页
下载0
2026-01-15
浏览2
收藏0
点赞0
评分-
20.00
温馨提示:当前文档最多只能预览 10 页,若文档总页数超出了 10 页,请下载原文档以浏览全部内容。
剩余11页未读,
下载浏览全部
收藏
已收藏
喜欢
已喜欢
文档描述
SNYG公司偿债能力分析-10214字.doc
11111
这个人很懒,什么都没留下
个人认证
查看用户
该文档于
上传
推荐文档
最新文档
物流业上市公司现金股利政策对财务绩效影响的实证研究-11836字.docx
公司治理、高管薪酬与企业绩效关系的实证研究-9694字.docx
通信行业上市公司财务杠杆对企业绩效影响的实证研究-10053字.docx
差异化税收优惠与跨地域并购绩效的相关研究-10391字.docx
政府补助、R&D投入对企业绩效的影响——基于智能制造业-12695字.pdf
食品业上市公司多元化经营对企业价值的影响-9909字.docx
创新投入、高管激励与企业财务绩效的关系研究—以节能环保业上市公司为例-11197字.docx
融资约束、商业信用与民营企业财务绩效-14812字.docx
我国上市公司股票回购的动因及其市场效应的实证研究-11211字.docx
控股股东杠杆增持、代理成本与企业现金持有价值-17097字.doc