添加到电脑桌面
添加到电脑桌面,以后点击桌面图标一键打开,无需搜索,非常快捷!
立即添加
资源篮
0
普通会员
限时优惠
登录
文档分类
计算机
金融/投资/证券
医药卫生
汽车/机械
外语学习
法律/法规/法学
研究生考试
电子工程
经济/贸易/财会
建筑/施工
幼儿/小学教育
文学/历史
教师资格考试
学术论文
上传下载
我要上传
上传规定
关于下载
下载须知
上传说明
投稿帮助
关于积分
关于提现
新手攻略
文档认领
特殊渠道特权
VIP收益说明
协议条款
用户协议
隐私政策
商户服务协议
上传积分文档协议
会员服务协议
文库
计算机
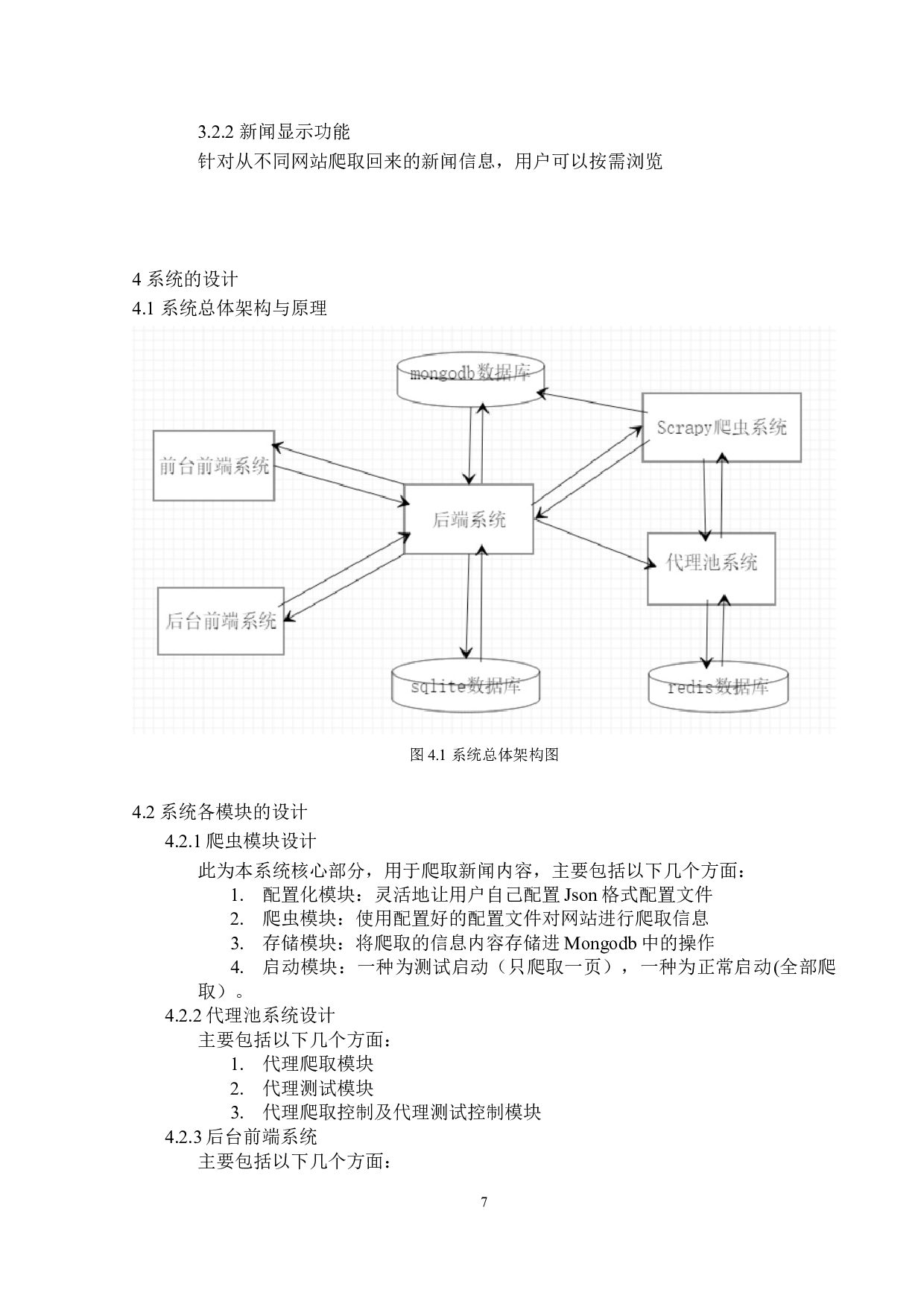
软件系统设计
新闻整合网站的设计与实现-10837字.doc
2022及前全
DOC
37页
下载0
2026-01-13
浏览2
收藏0
点赞0
评分-
20.00
温馨提示:当前文档最多只能预览 10 页,若文档总页数超出了 10 页,请下载原文档以浏览全部内容。
剩余27页未读,
下载浏览全部
收藏
已收藏
喜欢
已喜欢
文档描述
新闻整合网站的设计与实现-10837字.doc
ruan
这个人很懒,什么都没留下
个人认证
查看用户
该文档于
上传
推荐文档
最新文档
基于BS的大学生求职系统的设计与实现-15383字.docx
Python旅游爬虫可视化系统的设计与实现-22016字.docx
web在线卡牌集换系统的设计与实现-12856字.docx
北理珠青协志愿素拓系统的设计与实现-12396字.docx
校园帮帮系统的设计与实现-16587字.doc
“校际通”定票系统的设计及实现-18149字.doc
专精特新企业招聘系统的设计与实现-10226字.docx
个人博客系统的设计与实现-13264字.doc
个人电脑助手的设计和实现-14375字.pdf
个性化音乐推荐系统的设计与实现-10431字.pdf