文库 计算机 软件系统设计

基于SSM的物业管理系统的设计与实现-12665字.docx

2022及前全 DOCX   48页   下载0   2026-01-13   浏览2   收藏0   点赞0   评分-   24815字   20.00
温馨提示:当前文档最多只能预览 10 页,若文档总页数超出了 10 页,请下载原文档以浏览全部内容。
基于SSM的物业管理系统的设计与实现-12665字.docx 第1页
基于SSM的物业管理系统的设计与实现-12665字.docx 第2页
基于SSM的物业管理系统的设计与实现-12665字.docx 第3页
基于SSM的物业管理系统的设计与实现-12665字.docx 第4页
基于SSM的物业管理系统的设计与实现-12665字.docx 第5页
基于SSM的物业管理系统的设计与实现-12665字.docx 第6页
基于SSM的物业管理系统的设计与实现-12665字.docx 第7页
基于SSM的物业管理系统的设计与实现-12665字.docx 第8页
基于SSM的物业管理系统的设计与实现-12665字.docx 第9页
基于SSM的物业管理系统的设计与实现-12665字.docx 第10页
剩余38页未读, 下载浏览全部
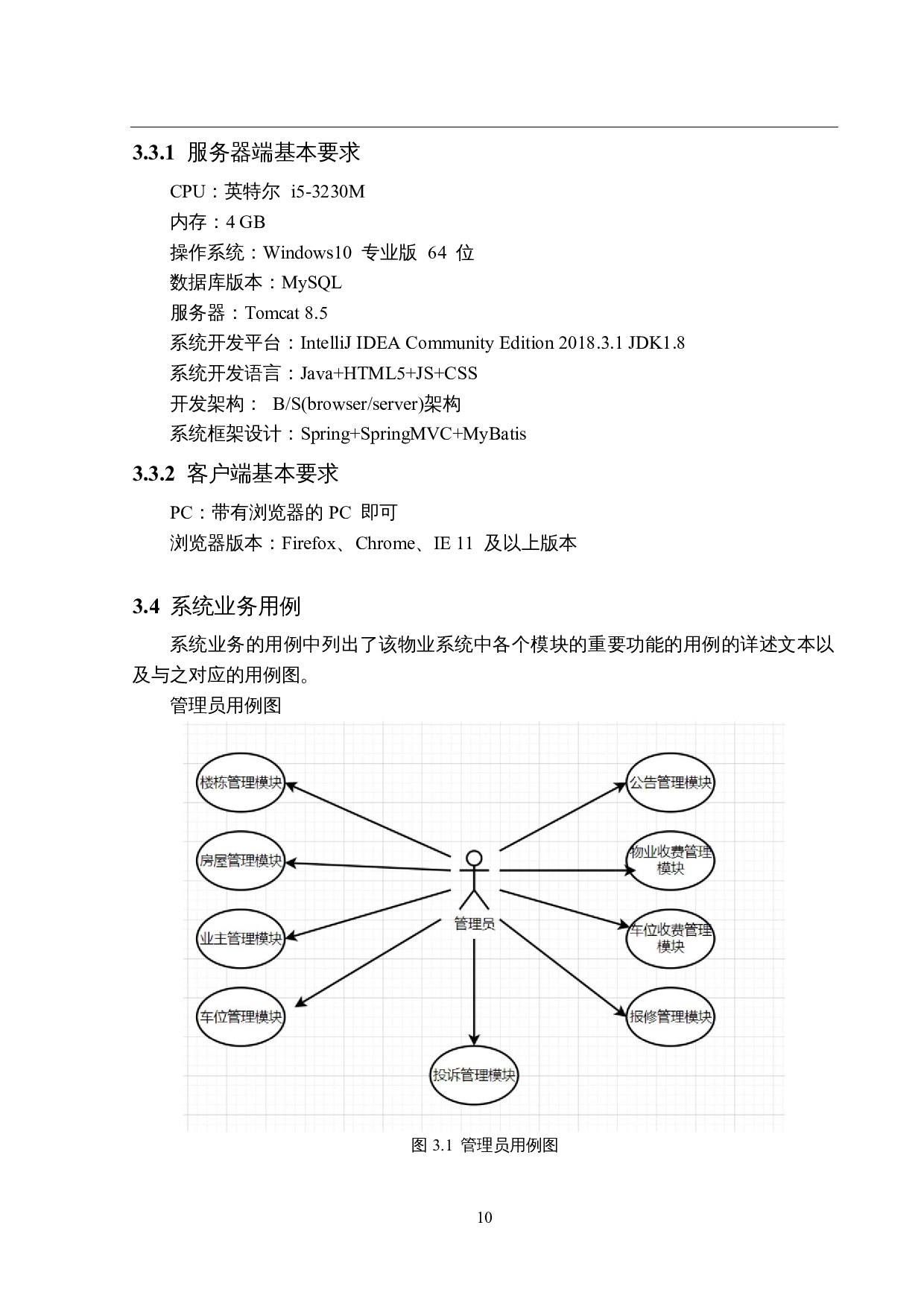
基于 SSM 的物业管理系统的设计与实现 摘 要 如今随着科技和社会经济的不断进步和发展,人们的生活越来越复杂,生活水平越 来越高,社会信息的大量地接收与发布已成为人类在社会生活中必不可少的组成部分。 计算机相关的技术已经渗透进了各个领域,在各个领域得到了非常广泛的应用。在市场 经济和经济发展的今天,居民的生活水平日益改善,居民的居住环境日益改善,居住环 境也日益受到广大居民的青睐。在这样的大环境下,房地产企业必须从宏观和微观两方 面进行精细的经营。而最高效的方法就是利用电脑进行小区物业的运行,而小
基于SSM的物业管理系统的设计与实现-12665字.docx