文库 化学与材料工程 生物科学

干燥温度对马齿苋中生物活性成分含量的影响-9225字.docx

2022及前全 DOCX   17页   下载0   2026-01-05   浏览12   收藏0   点赞0   评分-   12837字   20.00
温馨提示:当前文档最多只能预览 10 页,若文档总页数超出了 10 页,请下载原文档以浏览全部内容。
干燥温度对马齿苋中生物活性成分含量的影响-9225字.docx 第1页
干燥温度对马齿苋中生物活性成分含量的影响-9225字.docx 第2页
干燥温度对马齿苋中生物活性成分含量的影响-9225字.docx 第3页
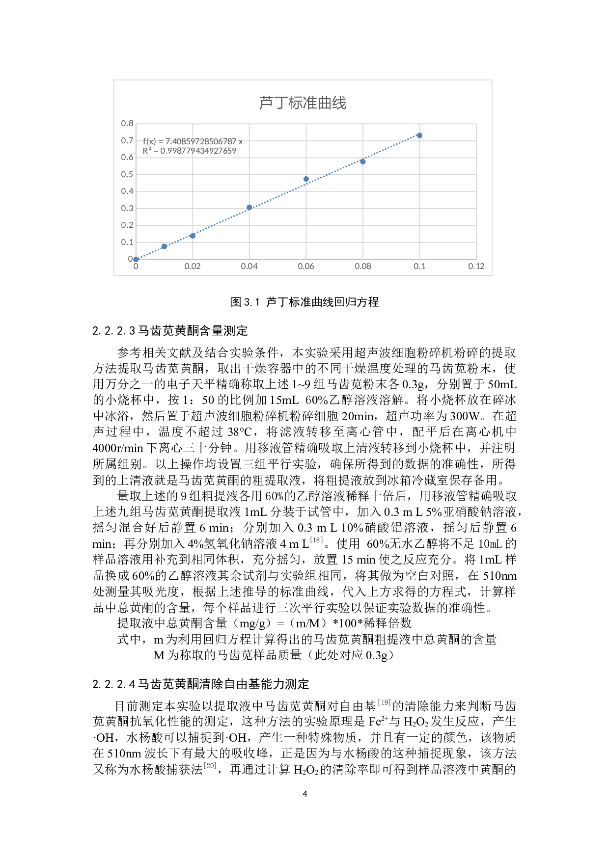
干燥温度对马齿苋中生物活性成分含量的影响-9225字.docx 第4页
干燥温度对马齿苋中生物活性成分含量的影响-9225字.docx 第5页
干燥温度对马齿苋中生物活性成分含量的影响-9225字.docx 第6页
干燥温度对马齿苋中生物活性成分含量的影响-9225字.docx 第7页
干燥温度对马齿苋中生物活性成分含量的影响-9225字.docx 第8页
干燥温度对马齿苋中生物活性成分含量的影响-9225字.docx 第9页
干燥温度对马齿苋中生物活性成分含量的影响-9225字.docx 第10页
剩余7页未读, 下载浏览全部
摘 要 马齿苋是一种重要的药食同源植物, 其中富含多种有效成分,尤其是一些生物活性成分, 因为马齿苋生物活性成分的多种功效,马齿苋被广泛应用在 多个领 域,因此提取马齿苋中的活性成分具有重 要 的现实意义。 但由于新鲜马齿苋不易保存,在 鲜藏过程 中容易发生腐烂,造成 损失 , 冷冻保存时间也不易超过一天, 否则会导致马齿苋的 腐烂 或者营养 流失 。 目前采用的方法一般是干燥保存, 干燥 方法 有 自然风干,热风干燥,真空干燥等多种方式,热风干燥是使用最广泛 的 ,成本低的一种方式 。 在热风干燥过程中, 热风 会对马
干燥温度对马齿苋中生物活性成分含量的影响-9225字.docx