文库 经济学 金融学

建设银行信用卡业务风险分析与防范对策-16017字.docx

2022及前全 DOCX   23页   下载0   2026-01-13   浏览2   收藏0   点赞0   评分-   18226字   20.00
温馨提示:当前文档最多只能预览 10 页,若文档总页数超出了 10 页,请下载原文档以浏览全部内容。
建设银行信用卡业务风险分析与防范对策-16017字.docx 第1页
建设银行信用卡业务风险分析与防范对策-16017字.docx 第2页
建设银行信用卡业务风险分析与防范对策-16017字.docx 第3页
建设银行信用卡业务风险分析与防范对策-16017字.docx 第4页
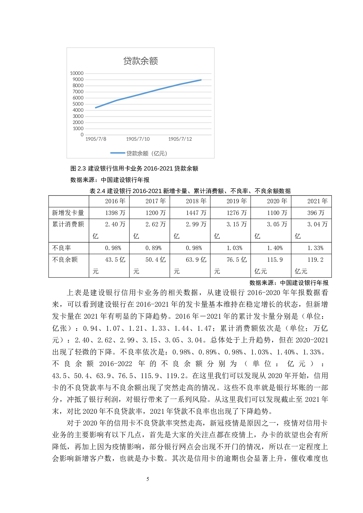
建设银行信用卡业务风险分析与防范对策-16017字.docx 第5页
建设银行信用卡业务风险分析与防范对策-16017字.docx 第6页
建设银行信用卡业务风险分析与防范对策-16017字.docx 第7页
建设银行信用卡业务风险分析与防范对策-16017字.docx 第8页
建设银行信用卡业务风险分析与防范对策-16017字.docx 第9页
建设银行信用卡业务风险分析与防范对策-16017字.docx 第10页
剩余13页未读, 下载浏览全部
建设银行信用卡业务风险分析与防范对策 摘 要 我国信用卡产业已由规模 高速发展 期 进入 以效益 和 质量为核心的精细化发展期,且作为消费信贷的重要业务领域也迎来了新的战略机遇期。但同时,信用卡风险也时有发生严重影响了我国信用卡产业的平稳健康发展。本文以中国建设银行为例,通过对我国信用卡业务发展现状及面临的主要风险类型的分析,阐述了欺诈类风险、信用类风险以及操作类风险三种主要的风险类型 及其风险成因 ,分析了建设银行信用卡业务现状,并从发卡审核、额度透支、偿还等环节上梳理提出了相应的防控对策措施,希望能通
建设银行信用卡业务风险分析与防范对策-16017字.docx