文库 经济学 电子商务

基于PPM模型的社交平台用户忠诚度研究——以微博为例-12452字.docx

2022及前全 DOCX   39页   下载0   2026-01-15   浏览6   收藏0   点赞0   评分-   20577字   20.00
温馨提示:当前文档最多只能预览 10 页,若文档总页数超出了 10 页,请下载原文档以浏览全部内容。
基于PPM模型的社交平台用户忠诚度研究——以微博为例-12452字.docx 第1页
基于PPM模型的社交平台用户忠诚度研究——以微博为例-12452字.docx 第2页
基于PPM模型的社交平台用户忠诚度研究——以微博为例-12452字.docx 第3页
基于PPM模型的社交平台用户忠诚度研究——以微博为例-12452字.docx 第4页
基于PPM模型的社交平台用户忠诚度研究——以微博为例-12452字.docx 第5页
基于PPM模型的社交平台用户忠诚度研究——以微博为例-12452字.docx 第6页
基于PPM模型的社交平台用户忠诚度研究——以微博为例-12452字.docx 第7页
基于PPM模型的社交平台用户忠诚度研究——以微博为例-12452字.docx 第8页
基于PPM模型的社交平台用户忠诚度研究——以微博为例-12452字.docx 第9页
基于PPM模型的社交平台用户忠诚度研究——以微博为例-12452字.docx 第10页
剩余29页未读, 下载浏览全部
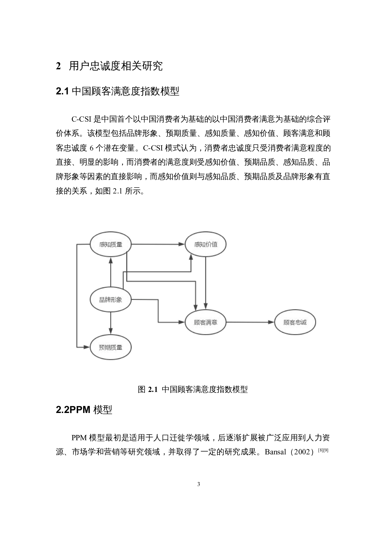
目 录 1 前言 ....................................................1 1.1 选题背景 ........................................................................................ 1 1.2 研究意义 ........................................................................................ 2 2 用户忠诚度相关研究 ......................................3 2.1 中国顾客满意度指数模型 ............................................................3 2.2PPM 模型 .......................................
基于PPM模型的社交平台用户忠诚度研究——以微博为例-12452字.docx