文库 经济学 电子商务

电商时代服装产品定价策略分析-11101字.docx

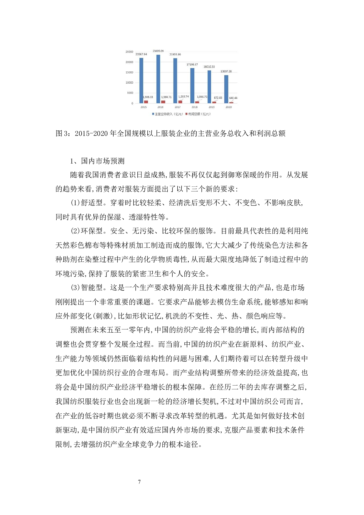
2022及前全 DOCX   18页   下载0   2026-01-15   浏览2   收藏0   点赞0   评分-   11616字   20.00
温馨提示:当前文档最多只能预览 10 页,若文档总页数超出了 10 页,请下载原文档以浏览全部内容。
电商时代服装产品定价策略分析-11101字.docx 第1页
电商时代服装产品定价策略分析-11101字.docx 第2页
电商时代服装产品定价策略分析-11101字.docx 第3页
电商时代服装产品定价策略分析-11101字.docx 第4页
电商时代服装产品定价策略分析-11101字.docx 第5页
电商时代服装产品定价策略分析-11101字.docx 第6页
电商时代服装产品定价策略分析-11101字.docx 第7页
电商时代服装产品定价策略分析-11101字.docx 第8页
电商时代服装产品定价策略分析-11101字.docx 第9页
电商时代服装产品定价策略分析-11101字.docx 第10页
剩余8页未读, 下载浏览全部
电商时代服装产品定价策略分析 摘 要 随着互联网在中国的高速发展,电子商务时代也在快速来临。电子商务在我国发展迅速,影响范围广,已成为一个炙手可热的趋势。服装产品在电子商务中的销售如火如荼,商家之间的竞争尤为激烈。在电子商务模式下,消费者可以更快、更全面地获得产品信息,大大提高了消费者与商家之间的讨价还价能力。这种电子商务的交易模式将影响个别服装企业产品的价格。电子商务对服装市场价值的影响是多种多样的,其中影响各种因素将反映到服饰产品市场的整体价值上。可以说,由于商品价格是整个市场经济活动中最灵敏、最活
电商时代服装产品定价策略分析-11101字.docx